Ijraset Journal For Research in Applied Science and Engineering Technology
Authors: Dr. Geetha Ramani J, Pavithiravalavan K, Vyshnav M.R, Tamaraiselvi K, Sandeep S
DOI Link: https://doi.org/10.22214/ijraset.2022.48265
Certificate: View Certificate
Most of the Agriculture lands in India are over-fertilized with some nutrients and some nutrients are Deficient in the same land. Maximum lands are Overhydrated which results in water wastage. Current automatic watering system uses only a soil moisture sensor and water the plant accordingly to the humidity alone. Development of an IOT based watering and fertilizer dispensing system which is fully automated accordingly to the soil and plant needs. The soil data and plant nutrients required data is initially collected and code is created accordingly and dumped in Arduino and the code can be changed once in a year or once in a plantation season so that the proper cycle can be ensured. This proposed system results in the proper usage of fertilizers and water in an efficient manner. This also paves the way for full-fledged Automation in the Agriculture field.
I. INTRODUCTION
Agriculture is the backbone of the Indian economy. A country with consistent agricultural magnification can achieve global economic sustainability. A country like India has ideal climatic conditions for growing a variety of agricultural crops. However, land and water are the more critical resources.
India is a country. Among these two, a lack of water resources has a significant impact on agricultural crop yield. As a result, water scarcity has an enormous impact on victuals generation. Due to a lack of water, farmers struggle to produce crops, which makes it difficult to feed the world's growing population.
According to the International Water Management Institute (IWMI), 70% of cumulative land-based water consumption is used for domestic, industrial and environmental uses, exacerbating the problem of water scarcity. If such amount of water is used for other purposes, the main use for agriculture will be avoided and people will think about how to best manage water. One such water management method is the irrigation system Irrigation is the method of bringing water to food or cash crops in order to maximize crop yields. The use of irrigation systems is not working optimally, but it is an efficient way to reduce water consumption. This can result in using more water than necessary or not getting enough water to maintain a healthy plant. As stated by the World Bank, irrigation management systems help promote and maintain previously placed water table irrigation systems, improving irrigated areas and increasing yields. Efficient use of water by irrigation systems has been proven to improve agricultural growth. However, the timing of watering depends on factors such as the time of watering and the amount of watering. In modern times, the traditional method of watering crops has been replaced by automated equipment. Benefits of automatic watering systems include reduced utility bills, prevention of uneven watering, and ensuring plants receive the amount of water they need by eliminating water waste. This is not the correct way of farming given the lack of water, wasting water by giving agricultural land that already has sufficient moisture. Therefore, before automatic irrigation, it is necessary to determine that the farmland on this site needs water and how much water the field needs to be irrigated. Soil and plant water conditions, plant growth and phonological stages, water availability, water quality, weather conditions, and the operational importance of irrigation systems are required to create an automated system Various studies have been conducted and most automated systems have been implemented commercially But instead of automation, we integrated an intelligent irrigation system. It has a wide scope for automating the entire irrigation system in time
Building an IoT, Irrigation using Arduino IDE with fertilizer and moisture sensor. Also, the Thing Talk server is used to detect the status of the country to receive Soil moisture content. The sprinkler system is also the basis for irrigation system in which water flows through pipes and according to their needs Water required according to national environmental conditions Intelligent identification of humidity, temperature, humidity, etc. The system and power will turn on, providing enough water for the plants The automated system that has been implemented has the following limitations Send warning messages or text messages to mobile phones without saving data Permanently available for future use The purpose of this article is to provide intelligent information. Irrigation system with automatic device and data storage in IoT Cloud, and type styles are built-in; examples of the type styles are provided throughout this document and are identified in italic type, within parentheses, following the example. Some components, such as multi-levelled equations, graphics, and tables are not prescribed, although the various table text styles are provided. The formatter will need to create these components, incorporating the applicable criteria that follow.
II. LITERATURE SURVEY
Jinling et al proposed a quantitative remote control system for greenhouses based on the Global System for Mobile GSM-SMS, which sends temperature, ambient temperature and humidity status by SMS, and controls watering equipment via remote machines. Factories use sensors and automation devices [1] Gautam and Reddy proposed an innovative remote-controlled on-board irrigation system based on GSM Bluetooth [2] Suresh et al proposed an architecture based on the capabilities of current and next generation microcontrollers and their application requirements [3]. The microcontroller used in this system promises to extend the life of the system by reducing power usage through reduced power consumption Kansara et al proposed a smart irrigation system using IoT [4] They offer irrigation techniques that minimize human intervention. If the bypass temperature and humidity change, the sensor reads the temperature and humidity change and sends a signal to interrupt the microcontroller to enable or disable the setting. Archana and Priya proposed a microcontroller-based system to monitor water level and irrigated area [5] Sensors are present to check the presence of water in the fields.
Once the field is dry, the sensor detects the need until the sensor is deactivated again Anitha proposed a waste monitoring system using IoT, which uses sensors on the lid of the bin to detect the level of waste based on the height of the bin [6] Uddin et al proposed a variable irrigation system model based on an automatic microcontroller [7] Solar energy is only used as a power source to control the whole system Sensors are placed on the rice fields, these sensors constantly detect the water level and transmit the information to the farmers who inform the water level.
Farmers can get information on water levels without having to visit the rice fields. Depending on the water level, the farmer can even control the car remotely by sending messages from his phone. However, if the water level reaches a dangerous level, the engine will start automatically, no statement from the farmer is required to determine the correct water level on site Chavan and Karande propose to develop transparent wireless sensor networks (WSN) for agricultural environments. Monitoring of various agricultural environment factors such as soil moisture, Temperature and humidity, among other factors, can be critical [8]. Traditional methods of quantifying these factors in agricultural settings involve individuals performing the quantification manually and examining them at different times This article studies a remote monitoring system using Zigbee These nodes send the data wirelessly to a central server, which collects the data, stores and approves it for analysis, then displays it on demand and can also be sent to the customer's mobile phone. Anitha proposed a home security system using IoT [9]
The system will notify the owner of any unauthorized access or door opening by sending a notification to the user Once the user has received the notification, they can take the necessary action. The security system will use a microcontroller called Arduino Uno to connect the components, a reed sensor to monitor status, a buzzer to trigger the alarm, and an ESP8266 Wi-Fi module to connect to the internet and communicate. The main advantages of such a system include ease of installation, low cost and low maintenance Parameswaran et al discussed irrigation systems based on soil moisture [10]. The moisture sensor is used to detect soil moisture and it is based on a solenoid valve In addition to climatic conditions, crops need to be watered knowing the pH of water and soil to produce better crops Monitors are used to display pH, moisture content and temperature This will improve the agricultural system to increase productivity.
A. Maintaining the Integrity of the Specifications
The template is used to format your paper and style the text. All margins, column widths, line spaces, and text fonts are prescribed; please do not alter them. You may note peculiarities. For example, the head margin in this template measures proportionately more than is customary. This measurement and others are deliberate, using specifications that anticipate your paper as one part of the entire proceedings, and not as an independent document. Please do not revise any of the current designations.
III. MATERIALS AND METHODOLOGY
The fertigation system is configured with various essential components as listed as follows.
The software requirements are Arduino application, MIT App Inventor
A. Arduino Uno
Arduino Uno is a PC equipment, that is open source which organizes the components by the programming language and integrates the enterprise with the client group to produce microcontroller packs. These micro-controlled packs are used as an intelligent agent which was programmed to detect and to control working of the system in the real-life Sample Arduino Uno is shown in Fig. 1. Generally, Arduino boards are inexpensive and used in various operating systems. It is easy and flexible for the beginners. It is compatible with various languages such as C++ and JAVA .


IV. PROPOSED METHODOLOGY
The primary aim of the project is to develop a framework to stay track of remote soil wetness from an abroad area and to deal with the moisture of soil so it doesn't influences the products. The IOT basically based arranged framework given amid this examination are valuable to achieve such an undertaking. The prototype framework examination of this study enables monitoring any agricultural arrive and keeps up moisture of the dirt. This thought will unquestionably encourage any country move to sensible Agriculture. The framework is foreseen to figure and create records in period. The real execution of the framework would require changes in detecting component, innovations and supply code in spite of the fact that the approach and control remain steady. The proposed system was demonstrated with the help of Thingspeak cloud. ThingSpeak is an IOT analytics place to accommodate to sanctions to aggregate, depict and analyse real-time data streams in the cloud. ThingSpeak gives instant envision of data posted by the contrivances with the competency to execute MATLAB code. Additionally , it is often utilized for prototyping and proof of concept IOT systems that require analytics.
???????A. Proposed System
The data is first collected from the different sensors here Sensors like Moisture level of soil, Temperature of the area, air moisture and Water Level are used. They are attached to a breadboard which is intern connected to the Arduino Board. The data from the board is sent to the Arduino IDE. The programming language that is used runs instructions which extracts the data and reflects. If the data is not valid then the process ends is clearly shown in Fig. 6 and Fig. 7

V. IMPLEMENTATION OF THE PROPOSED SYSTEM
In the proposed system, our idea is to develop a framework which can help in a programmed water system gadget through concentrate the dampness level of the field. The shrewd water system contraption ends up being a valuable gadget since it robotizes and manages the watering with no guide intercession. The essential bundles for this mission are for agriculturists and plant specialists who do now not have enough time to water plants.
The dampness sensors and temperature sensor degree the dampness degree (water substance) and temperature of the unmistakable vegetation. On the off chance that the dampness level is situated to be underneath the coveted level, the dampness sensor sends the flag to the Arduino board which triggers the Water Pump to appear ON and supply the water to particular plant. The machine might be likewise drawn out for out of entryways utilization. The working model of the proposed system was depicted in Fig.8 and Fig.9.


VI. EXPERIMENTAL ANALYSIS
The experiment was carried out by taking the input from the DHT11 sensor. The moisture sensor gives analog output which can be read through the ESP8266 NodeMCU analog pin A0. Since the NodeMCU cannot give output voltage greater than 3.3V from its GPIO so we are using a relay module to drive the 5V motor pump. Also the Moisture sensor and DHT11 sensor is powered from external 5V power supply.
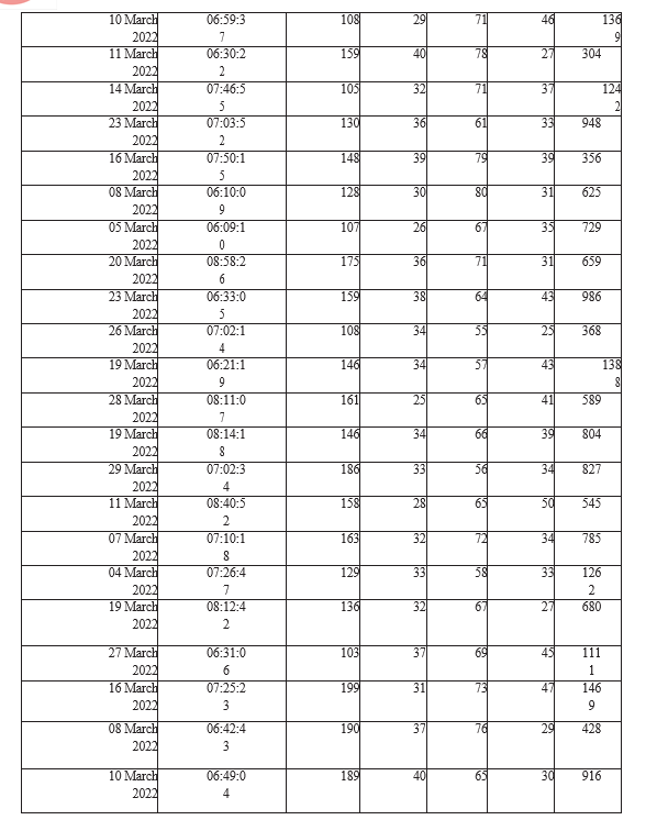
The data collected from various sensors are listed in the table below. Table.1 contains the data from Temperature, sensor, humidity sensor, Soil moisture sensor and water level sensor indicated as attributes as A1,A2,A3,A4 respectively.




The data collection from soil and plant nutrition requirements is like a servicing process that must be repeated once in a season or once a year so, in future this procedure will also be automated in a cost effective manner. The sand and the water level are the critical parameter for the development of smart irrigation system. Generally, the soil moisture is affected by a sundry parameters such as air temperature, soil temperature, air humidity, ultra violet rays, and much more. This paper proposed an IoT based smart irrigation system utilizing sensors to record the data and store it in the cloud storage. The future work can be prediction of soil moisture using the recorded data and it may provide cost effective. The auto mode makes it a smart system and it can be further customized for application categorical scenarios. The future plan is to conduct a water saving analysis based on proposed algorithm with multiple nodes along with minimizing the system cost.
[1] G S. Jin, S. Jingling, H. Qiuyan, W. Shengde, and Y.Yan, “A remote measurement and control system for greenhouse based on gsm-sms,”. In 2007 8th International Conference on Electronic Measurement and Instruments IEEE. pp. 2-82, August 2007. [2] I. Gautam, and S.R.N Reddy, “Innovative GSM bluetooth based remote controlled embedded system for irrigation”. International Journal of Computer Applications, vol 47, pp.1-7,2012. [3] R. Suresh, S.Gopinath, K. Govindaraju, T. Devika and N.S. Vanitha, “GSM based automated irrigation control using raingun irrigation system”, International Journal of Advanced Research in Computer and Communication Engineering”, vol 3, pp.5654-5657, 2014. [4] K. Kansara, V. Zaveri, S. Shah, S. Delwadkar, and K.Jani, “Sensor based automated irrigation system with IOT: a technical review”, International Journal of Computer Science and Information Technologies, vol 6, pp.5331-5333, 2015. [5] P. Archana, R. Priya, “Design and implementation of automatic plant watering system”, International Journal of Advanced Engineering and Global Technology, vol 4, pp. 1567-1570, 2016. [6] A. Anitha, “Garbage Monitoring System Using IoT”. IOP Conference Series. Materials Science and Engineering, pp.420-427, 2017 [7] M. Uddin, “Measurements of evaporation during sprinkler irrigation”, (Doctoral dissertation, University of Southern Queensland). 2012 [8] C.H. Chavan, and P.V. Karande, “Wireless monitoring of soil moisture, temperature & humidity using zigbee in agriculture”. Int. J. Eng. Trends Technol, vol 11, pp. 493-497, 2014. [9] A. Anitha,“Home security system using internet of things”. In Materials Science and Engineering Conference Series, vol. 263, pp. 1-11, 2017. [10] G. Parameswaran, and K. Sivaprasath, “Arduino based smart drip irrigation system using Internet of Things”. Int. J. Eng. Sci, 5518, 2016.
Copyright © 2022 Dr. Geetha Ramani J, Pavithiravalavan K, Vyshnav M.R, Tamaraiselvi K, Sandeep S. This is an open access article distributed under the Creative Commons Attribution License, which permits unrestricted use, distribution, and reproduction in any medium, provided the original work is properly cited.
Paper Id : IJRASET48265
Publish Date : 2022-12-20
ISSN : 2321-9653
Publisher Name : IJRASET
DOI Link : Click Here
Submit Paper Online
