Ijraset Journal For Research in Applied Science and Engineering Technology
Authors: Dhanashree Patil, Saee Thakur , Damita Cota, Ramesh Paranjape
DOI Link: https://doi.org/10.22214/ijraset.2023.56182
Certificate: View Certificate
Inflammatory Bowel Disease [IBD] is a chronic inflammatory disorder that affects the digestive system. As a disorder of the Gastro inflammatory condition, IBD symptoms could be alleviated by nutritional factors. Polyphenols are the secondary plant metabolites exclusively present in plants, vegetables and fruits and are known to be beneficial due to their wide range of biological effects. Increased intake of polyphenols appears to protect against disease in virtue of their anti?inflammatory properties. There is growing evidence showing that polyphenols isolated from plants have great therapeutic potential in the prevention and treatment of different chronic diseases, including inflammatory disorders as well as gastrointestinal diseases. Present study proposal is designed to evaluate the possible effect of three major polyphenols: Ellagic Acid, Gallic acid and Quercetin for their therapeutic potential in inhibiting adherence and cytokines release in rat intestinal cells exposed to bacterial infection in-vitro. In the current study, the E.coli strain HM 95 which has 1.51 ± 3.75 invasion capacity and 5.75 ± 9.36 adhesion capacity was used in the study to co-culture with Normal Rat Epithelium Cell Line [IEC-6] to study the Genotoxicity. Exposure to Gallic acid prevented DNA damage which was studied by Comet assay. However, Ellagic acid and Quercetin did not exhibit significant prevention of DNA damage.
I. INTRODUCTION
Inflammatory Bowel Disease (IBD) comprises of the chronic, relapsing, inflammatory disorders of the gastrointestinal tract that includes Ulcerative Colitis (UC) and Crohn’s Disease (CD) [1]. It is characterized by diarrhoea, rectal bleeding, the urgency to have bowel movements, abdominal cramps, fever and weight loss [2, 3]. One of the worst complications of IBD is the development of colon cancer [4]. Escherichia coli was linked to CD since an abundance of specific adherent-invasive E. coli (AIEC) was found in resected ileum from patients with CD. Similarly, E. coli are very predominant in inflamed mucosa of patients with UC [5]. These bacteria adhere to the intestinal cells invading the cells and replicate there to cause intestinal diseases [6].
Cancer associated inflammation refers to the complex interaction between the immune system and cancer cells, resulting in a chronic state of inflammation that facilitates tumor growth, invasion and metastasis. Certain inflammatory cells and cytokines are thought to play a key role in this process including macrophages, dendritic cells, neutrophils and interleukin- [IL-6] among others [7]. India is estimated to have amongst the highest numbers of IBD patients in the world. The overall genetic risk and microbial signature in Indian IBD patients are similar to those of patients in the West. IBD affects individuals in their most productive years and is associated with significant morbidity and loss of functional capacity along with the burden of costly and prolonged treatment. With the rising disease burden, research should also focus on developing low-cost therapies which would not only help the patients in India but also in entire Asia, which like India is experiencing a rise in IBD disease burden along with scarce resources to tackle this problem [8].
The bacterial cell wall which has lipopolysaccharide and the proteins present in flagella helps bacteria to adhere to cell line layer and addition of serum to the cell culture media helps more secretion of serum which in turn increases the invasion. Invasion is sometimes dependant on type of cell line and it is also associated with disease outcome [9]. Bacterial strain HM 95 which is isolated from Crohn’s disease patient is reported to have invasion and adhesion capacity [10].
A significant number of isolated polyphenols from plant sources reduce colitis in rodent models. The benefits of polyphenols in rodent IBD models include reduction of bleeding, improvement in stool consistency, improved histological appearance, decreased weight loss, and protection from colon shortening. Although evidence for the effectiveness of polyphenols for IBD in humans remains very limited, results from these pre-clinical studies indicate an opportunity for developing anti-colitic polyphenol treatments [11]. In our previous studies we have reported the antibacterial and cytotoxic potential of these polyphenols [12,13]
Now, as per growing evidences for potential of polyphenols in inflammatory disorders, the present study proposal aims at evaluating the effects of polyphenols: Gallic acid, Ellagic acid, and Quercetin on DNA damage analysis in colorectal adenocarcinoma cells after exposure to the bacteria.
II. MATERIALS AND METHODS
A. Chemicals and Reagents
The standard polyphenols, Ellagic acid (SLBD8693V), Gallic acid (MKBR0854V) and Quercetin (R035PO) were obtained as gift samples from Pharmanza Herbal Pvt. Ltd. The Rat Tumor Necrosis Factor α, Dulbecco’s Modified Eagle’s Medium (DMEM) [AL007S], L-glutamine [TCL012], Sodium Bicarbonate [TCL013], Sodium Pyruvate [TCL015], Antibiotic Antimycotic solution [A002], Fetal Bovine Serum (FBS) [RM10432]. Fluorescent dye DAPI [MB097], Low Melting Agarose 0.5% [RM861], Normal Melting Agarose [RM6249], PBS [TL1031] for comet assay was procured from Hi-media, Bangalore – India. Other chemical for comet assay like EDTA, NaCl, NaOH, Tris Base, sodium sarcosinate, Triton X-100 were procured from Thermo Fisher scientific.
B. Bacterial Strain
Bacterial isolate Escherichia coli HM95 (AIEC) was received under Material Transfer
Agreement with University of Liverpool, United Kingdom. The bacterial isolate was sub-
cultured on MacConkey agar [M082] plates and incubated aerobically at 37ºC.
C. Cell Culture Conditions
The Rat Intestinal Epithelium cell line [IEC-6] was procured from National Center for Cell Sciences, Pune-India. The cells were cultured in Dulbecco’s Modified Eagle’s Medium (DMEM) [AL007S] with 2 mM L-glutamine [TCL012], 1.5gms/lit of Sodium Bicarbonate [TCL013], 1mM Sodium Pyruvate [TCL015], 1% Antibiotic Antimycotic solution [A002], and supplemented with 10% FBS [RM10432] at 37 ºC with 5% CO 2 till monolayer is formed. A 90% monolayer of IEC-6 cells were grown in medium with the polyphenols at IC50 concentrations. The IC50 value for Gallic acid, Ellagic acid and Quercetin is 440µg/ml, 320µg/ml, and 300µg/ml respectively [12,13]. Similarly incubated cell monolayers without polyphenols were taken as controls.
D. Genotoxicity Assay
The 90% cell monolayers were incubated with polyphenols at before (2 h) and during (3 h) infection with bacteria (MOIs 1 or 10). Immediately after infection, cells were detached and collected in cryotubes for storing in liquid nitrogen till further use.10 μL of treated or control cells (1x104 cells) was added to 120μL of 0.5% low-melting point agarose at 37?C, layered onto a pre-coated slide with agarose and covered with a coverslip then it was allowed to solidify at 4ºC for 10min. The slides were immersed into a lysis solution (2.5 M NaCl, 100mM EDTA; 10mM Tris-HCl buffer pH=10, 1% sodium sarcosinate with 1% Triton X-100 and 10% DMSO) to facilitate cell membrane and histone removal [16, 17]. The slides were placed in the alkaline buffer and incubated at room temperature in the dark for 20 min to denature and unwind DNA. After the unwinding step, electrophoresis was performed at 24 volts (0.74V/cm), 300 mA for 30 minutes.The slides were subsequently rinsed with neutralizing buffer for 5 minutes. Slides were then dried and stained with 80µL 1X DAPI (4',6-diamidino-2-phenylindole) and then dipped in chilled distilled water to remove any excess stain. The coverslip was then placed over it and the slides were dried before observation.
E. Microscopic Analysis of Comet Slides
For visualization of DNA damage, observations were made of slides using a 40x objective on fluorescent microscope to assess the quantitative and qualitative extent of DNA damage in the cells by measuring the length of DNA migration and the percentage of migrated DNA. Each slide was analysed using fluorescent microscope and 5 comets per sample were calculated and analysed. Image analysis was done using CASP software. The comets were classified according to extent of DNA damage into five categories as follows by: Undamaged (damage > 5%), Low damage (5-20%), Medium level damage (20-40%), High level of damage (40-85%), completely damaged (damage > 85%).
F. Statistical Analysis
All data presented in this study were obtained from three independent experiments. All the values are expressed as mean ± SD. Statistical significance was determined in comparison to the appropriate control by performing a one-way analysis of variance (ANOVA) followed by the Tukey’s multiple comparisons post-hoc test. All Statistical analysis were carried out using GraphPad Prism version 5.0 (GraphPad Software Inc., La Jolla, CA, USA) with statistical significance set at p>0.05.
III. RESULTS
A. Genotoxicity Assay
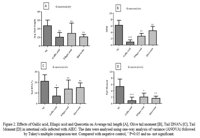
The extent of DNA damage was analysed by Comet assay. The damaged DNA fragments migrate away from nuclei and by measuring the comet tail length gives the evaluation of extent of DNA damage. The tail length, % of DNA in tail, tail moment and olive tail moment was calculated by using CASP lab software [Figure. 2]. The average tail length in Negative control was found to be 23.8±6.4, the treatment with the polyphenols decreased the Average tail length but the decrease was not significant. Average tail length was 10.4±5.3, 14.8±12, 10.8±2.6 in Gallic acid, Ellagic acid and Quercetin respectively. The Average OTM in Negative control was found to be 6.2±1.6. Treatment with Gallic acid and Ellagic acid significantly reduced the OTM to 0.96±0.7 and 2.8±0.9 respectively. However, Treatment with Quercetin displayed a non-significant decrease in OTM value of 4.5±1.4 when compared to Negative control. The Average Tail DNA % in Negative control was found to be 21±6.2. Treatment with Gallic acid significantly reduced the Tail DNA % to 7.2±7.9. However, treatment with Ellagic acid and Quercetin showed a non-significant decrease 13.7±8.5 and 15.1±4.4 respectively when compared to Negative control. The Average Tail moment in Negative control was found to be 21±6.2. Treatment with Gallic acid, Ellagic acid and Quercetin significantly reduced the Tail Moment to7.2±7.9, 13.7±8.5 & 15.1±4.4 respectively compared to Negative control.

IV. DISCUSSION
The Colorectal cancer is a leading cause of death worldwide among other cancers such as breast cancer, prostate cancer and colon cancer [19]. The pro-neoplastic effects occurring in chronic intestinal inflammatory conditions in IBD patients provide a great risk of colorectal cancer.
Adherent –invasive E.coli (AIEC) are reported to be involved in pathologic process of CD, working by deregulation of immunity. These variants of E.coli attach and invade the mucosal cells to produce extensive biofilms that protect the bacteria from the host immune system and treatment with antibiotics, causing diseases in living organisms. The main purpose of the study was to evaluate the ability of Gallic acid, Ellagic acid and Quercetin to inhibit the DNA damage which has occurred because of invasion of pathogenic bacteria.
Bacteria would enter the host cell by first adhering to the surface to form the biofilm [21]. In the present study the bacterial strain of E.coli HM 95 which was isolated from Crohn’s disease patient was selected and the adhesion in IEC-6 cells was as per previously reported studies [22]. The first line of defense is to prevent the adhesion of pathogenic bacteria to the host cell which was evaluated by anti-adhesion activity of the test polyphenols. Rat intestinal cell line was selected in order to mimic the in vivo condition since E.coli enters human body mostly through gastrointestinal tract. In adhesion assay the intestinal cell line was infected with bacteria at a multiplicity of infection (MOI) of 1 or 10 bacteria/cell and further polyphenols were added at their respective IC50 values [12,13].
The selected E.coli strain HM 95 which is isolated from Crohn’s disease patience has 1.51 ± 3.75 invasion capacity (% attached bacteria surviving gentamicin treatment) and 5.75 ± 9.36 adhesion (number of bacteria attached per well [CFU ×104] capacity was used for the study [10].
Chronic inflammation is an important intrinsic factor that induces multiple responses including DNA damage, production of reactive oxygen and nitrogen species, regulation of intestinal epithelial cell [IEC] malignant degeneration, polarization and tumor microenvironment establishment, activation of transcriptional factors such as nuclear factor kβ and IEC nonspecific factors such as signal transducer and activation of transcription 3 (STAT -3) [31].
The comet assay is also known as the single cell gel electrophoresis [SCGE] assay, is sensitive, reliable and rapid method for detecting DNA damage in individual cells. It is widely used technique in Genotoxicity testing, as it can detect DNA strand breaks, alkali labile sites, cross-linking and other types of DNA damage. [16]. For the visualization of DNA damage, observations were made of slides using a 40x objective on Fluorescent microscope. To assess the quantitative and qualitative extent of DNA damage in the cells by measuring the length of DNA migration and the percentage of migrated DNA. Smaller fragments of DNA migrate further in the electric field compared with intact DNA and the cellular lysates thus resembled a “comet” with a bright fluorescent head and a tail region [17]. In the current study the comet assay was used to evaluate the extent of DNA damage which has caused due to AIEC to colon cells and to evaluate the ability of polyphenols to inhibit the DNA damage. By using software the comet tail length, olive tail moment and other parameters were calculated. All the three polyphenols have shown inconsistent results in terms of various parameters estimated to measure Genotoxicity. Among the three polyphenols, Gallic acid exhibited better Geno protective effect by significantly reducing the OTM, Tail DNA % and Tail Moment. Least effective was Quercetin which displayed significant difference only in Tail moment when compared to Control.
V. ACKNOWLEDGEMENTS
The authors are thankful to Prof. Barry J Campbell [Gastroenterology Research Unit, Institute of Translational Medicine, University of Liverpool, United Kingdom] for providing the bacterial strain HM 95 through Material Transfer Agreement.
VI. CONFLICTS OF INTEREST
There are no conflicts of interest.
VII. FUNDING AGENCY
The study received no funding.
In conclusion, this study data demonstrates that Gallic acid, Ellagic acid and Quercetin inhibits DNA damage caused, which could possibly lead to development of CRC, suggesting beneficial role in treatment of chronic inflammatory conditions. The study findings give preliminary data for the management of IBD, which is currently in need for the development of alternative and complementary medicine which can be adjuvant for existing treatment.
[1] Lewis SN, Brannan L, Guri AJ, Lu P, Hontecillas R, Bassaganya-Riera J, Bevan DR. Dietary ?-eleostearic acid ameliorates experimental inflammatory bowel disease in mice by activating peroxisome proliferator-activated receptor-?. PloS one. 2011 Aug 31;6(8):e24031. [2] Achkar, J.P., 2014. Inflammatory bowel disease, The American college of Gastroenterology.www.theportlandclinic.com/wpcontent/uploads/2014/05/tpc_inflammatoryboweldisease-achkar_10572.pdf. [3] Kaulmann, A. and Bohn, T., 2016. Bioactivity of Polyphenols: Preventive and Adjuvant Strategies toward Reducing Inflammatory Bowel Diseases—Promises, Perspectives, and Pitfalls,” Oxidative Medicine and Cellular Longevity, Article ID 9346470, https://doi.org/10.1155/2016/9346470. [4] Romier, B., Schneider, Y., Larondelle, Y., and During. A., 2009. Dietary polyphenols can modulate the intestinal inflammatory Response. Nutrition Reviews®. 67(7):363–378 [5] Petersen, A.M., Schjørring, S., Gerstrøm, S.C., Krogfelt, K.A., 2011. Treatment of Inflammatory Bowel Disease Associated E. coli with Ciprofloxacin and E. coli Nissle in the Streptomycin-Treated Mouse Intestine. Heimesaat MM, ed. PLoS ONE. 6(8):e22823. doi:10.1371/journal.pone.0022823. [6] Bertucinni, L., Costanzo, M., Losi, F., Tinari, A., Terruzzi, F., Stronati, L., et al., 2014. Lactoferrin prevents invasion and inflammatory response following E.coli strain LF82 infection in experimental model of Crohn’s disease. Digestive and Liver Disease. 2014 Jun 1;46:496-504. [7] Moore MM, Chua W, Charles KA, Clarke SJ. Inflammation and cancer: causes and consequences. Clinical Pharmacology & Therapeutics. 2010 Apr;87(4):504-8. [8] Kedia, S., Ahuja, V., 2017. Epidemiology of Inflammatory Bowel Disease in India: The Great Shift East. Inflamm Intest Dis. 2:102–115. DOI: 10.1159/000465522 [9] Wunsch CM, Lewis JP. Porphyromonas gingivalis as a model organism for assessing interaction of anaerobic bacteria with host cells. JoVE (Journal of Visualized Experiments). 2015 Dec 17(106):e53408. [10] Martin HM, Campbell BJ, Hart CA, Mpofu C, Nayar M, Singh R, Englyst H, Williams HF, Rhodes JM. Enhanced Escherichia coli adherence and invasion in Crohn’s disease and colon cancer. Gastroenterology. 2004 Jul 1;127(1):80-93. [11] Martin, D.A. and Bolling, B.W., 2015. A review of the efficacy of dietary polyphenols in experimental models of inflammatory bowel diseases. Food Funct. 6:1773-1786 [12] Mishra S, Cota D, Jalalpure SS. Quercetin against IBD Bacterial Isolates and Cytotoxicity against Colorectal Cancer. Indian Journal of Natural Products,2021;35,16-18. [13] Cota D, Patil D. Antibacterial potential of ellagic acid and gallic acid against IBD bacterial isolates and cytotoxicity against colorectal cancer. Natural Product Research. 2022 Aug:1-5. DOI: 10.1080/14786419.2022.2111560. [14] Friis LM, Pin C, Pearson BM, Wells JM. In vitro cell culture methods for investigating Campylobacter invasion mechanisms. Journal of Microbiological Methods. 2005 May 1;61(2):145-60. [15] Morita H, He F, Fuse T, Ouwehand AC, Hashimoto H, Hosoda M, Mizumachi K, Kurisaki JI. Adhesion of lactic acid bacteria to Caco?2 cells and their effect on cytokine secretion. Microbiology and immunology. 2002 Apr;46(4):293-7. [16] Olive PL, Banáth JP. The comet assay: a method to measure DNA damage in individual cells. Nature protocols. 2006 Jun;1(1):23-9. [17] Braafladt S, Reipa V, Atha DH. The comet assay: automated imaging methods for improved analysis and reproducibility. Scientific Reports. 2016 Sep 1;6(1):1-9. [18] Le Blay G, Fliss I, Lacroix C. Comparative detection of bacterial adhesion to Caco-2 cells with ELISA, radioactivity and plate count methods. Journal of microbiological methods. 2004 Nov 1;59(2):211-21. [19] Sawicki T, Ruszkowska M, Danielewicz A, Nied?wiedzka E, Ar?ukowicz T, Przyby?owicz KE. A review of colorectal cancer in terms of epidemiology, risk factors, development, symptoms and diagnosis. Cancers. 2021 Apr 22;13(9):2025. [20] Agus A, Massier S, Darfeuille-Michaud A, Billard E, Barnich N. Understanding host-adherent-invasive Escherichia coli interaction in Crohn\\\'s disease: opening up new therapeutic strategies. Biomed Res Int. 2014; 2014: 567929. [21] Tobe T, Sasakawa C. Species?specific cell adhesion of enteropathogenic Escherichia coli is mediated by type IV bundle?forming pili. Cellular microbiology. 2002 Jan;4(1):29-42. [22] Martin HM, Campbell BJ, Hart CA, Mpofu C, Nayar M, Singh R, Englyst H, Williams HF, Rhodes JM. Enhanced Escherichia coli adherence and invasion in Crohn’s disease and colon cancer. Gastroenterology. 2004 Jul 1;127(1):80-93. [23] Luís Â, Silva F, Sousa S, Duarte AP, Domingues F. Antistaphylococcal and biofilm inhibitory activities of gallic, caffeic, and chlorogenic acids. Biofouling. 2014 Jan 2;30(1):69-79. [24] Ratti A, Fassi EM, Forlani F, Mori M, Villa F, Cappitelli F, Sgrignani J, Roda G, Cavalli A, Villa S, Grazioso G. Mechanistic Insights into the Antibiofilm Mode of Action of Ellagic Acid. Pharmaceutics. 2023 Jun 17;15(6):1757. [25] Vazquez-Armenta FJ, Bernal-Mercado AT, Tapia-Rodriguez MR, Gonzalez-Aguilar GA, Lopez-Zavala AA, Martinez-Tellez MA, Hernandez-Oñate MA, Ayala-Zavala JF. Quercetin reduces adhesion and inhibits biofilm development by Listeria monocytogenes by reducing the amount of extracellular proteins. Food Control. 2018 Aug 1;90:266-73. [26] Elsinghorst EA. Measurement of invasion by gentamicin resistance. InMethods in enzymology 1994 Jan 1 (Vol. 236, pp. 405-420). Academic Press. [27] S. Pang JH, Yen JH, Wu HT, Huang ST. Gallic acid inhibited matrix invasion and AP-1/ETS-1-mediated MMP-1 transcription in human nasopharyngeal carcinoma cells. International journal of molecular sciences. 2017 Jun 24;18(7):1354. [28] Lan H, Hong W, Fan P, Qian D, Zhu J, Bai B. Quercetin inhibits cell migration and invasion in human osteosarcoma cells. Cellular Physiology and Biochemistry. 2017 Oct 13;43(2):553-67. [29] Pitchakarn P, Chewonarin T, Ogawa K, Suzuki S, Asamoto M, Takahashi S, Shirai T, Limtrakul P. Ellagic acid inhibits migration and invasion by prostate cancer cell lines. Asian pacific journal of cancer prevention. 2013;14(5):2859-63. [30] Jung HC, Eckmann L, Yang SK, Panja AS, Fierer J, Morzycka-Wroblewska E, Kagnoff MF. A distinct array of proinflammatory cytokines is expressed in human colon epithelial cells in response to bacterial invasion. The Journal of clinical investigation. 1995 Jan 1;95(1):55-65. [31] Kay J, Thadhani E, Samson L, Engelward B. Inflammation-induced DNA damage, mutations and cancer. DNA repair. 2019 Nov 1;83:102673. [32] Frigerio S, Lartey DA, D’Haens GR, Grootjans J. The role of the immune system in IBD-associated colorectal cancer: from pro to anti-tumorigenic mechanisms. International Journal of Molecular Sciences. 2021 Nov 25;22(23):12739. [33] McConnell BB, Yang VW. The role of inflammation in the pathogenesis of colorectal cancer. Current colorectal cancer reports. 2009 Apr;5(2):69-74. [34] BenSaad LA, Kim KH, Quah CC, Kim WR, Shahimi M. Anti-inflammatory potential of ellagic acid, gallic acid and punicalagin A&B isolated from Punica granatum. BMC complementary and alternative medicine. 2017 Dec;17:1-0. [35] Marino A, Paterniti I, Cordaro M, Morabito R, Campolo M, Navarra M, Esposito E, Cuzzocrea S. Role of natural antioxidants and potential use of bergamot in treating rheumatoid arthritis. PharmaNutrition. 2015 Apr 1;3(2):53-9.
Copyright © 2023 Dhanashree Patil, Saee Thakur , Damita Cota, Ramesh Paranjape. This is an open access article distributed under the Creative Commons Attribution License, which permits unrestricted use, distribution, and reproduction in any medium, provided the original work is properly cited.
Paper Id : IJRASET56182
Publish Date : 2023-10-17
ISSN : 2321-9653
Publisher Name : IJRASET
DOI Link : Click Here
Submit Paper Online
