The use of recycled waste materials in road pavements is currently seen as a viable solution not just in terms of environmental sustainability, but also in terms of improving service performance.[1] This is particularly true when it comes to recycled plastics. Thin plastic bags are primarily composed of low-density Polyethylene and it’s commonly used for packaging, protecting and many other applications. Nevertheless, disposal of waste plastic bags in large quantities constitutes an environmental problem, as they considered non-biodegradable materials. Hence, there is a real need to find useful applications for these growing quantities of wastes. In this research, Waste Plastic Bags (WPB) as one form of polymers are used to investigate the potential prospects to enhance asphalt mixture properties. Research aims include studying the effect of partial replacing of different percentages of WPB pieces of the bitumen as binder modifiers on the properties of asphalt mix comparing it with conventional mix properties, besides identifying the optimum percent of WPB to be added in the hot mix asphalt. WPB were presented in the asphalt mixture in pieces with size (2 x 5 mm2). Marshal mix design procedure was used, first to determine the Optimum Bitumen Content (OBC) and then further to test the modified mixture properties. In total, (39) samples were prepared, 15 samples were used to determine the OBC and the remaining were used to investigate the effects adding different WPB percentages to asphalt mix. The OBC was 5.6 % by weight of asphalt mix. Seven proportions of WPB by weight of OBC were tested (2, 4, 8, 12, 16, 20 and 24%), besides testing of ordinary asphalt mix. Tests include the determination of stability, bulk density, flow and air voids.
Results indicated that WPB can be suitably used as a modifier for asphalt mixes as a part of sustainable management of plastic waste as well as for improved performance of asphalt mix. WPB content of 5.0 % by weight of OBC is recommended as the optimum WPB content for the improvement of performance of asphalt mix. Asphalt mix modified with 5.0 % WPB by OBC weight has higher stability value compared to the conventional asphalt mix. Asphalt mix modified with higher percentages of WPB exhibit lower bulk density, higher flow and higher air voids.
Introduction
I. INTRODUCTION
A noticeable increase in waste generation rates for various types of waste materials has been noticed as a result of rapid industrial growth in numerous fields combined with population growth. Disposal of such huge amounts of waste, particularly non-decaying waste materials, has become a major challenge in both industrialized and developing countries. One of the most sustainable solutions for this problem is to recycle waste into valuable items. As a result, substantial research into new and innovative uses of waste materials is encouraged. Using recycled materials in road pavements is nowadays considered not only as a positive option in terms of sustainability, but also, as an attractive option in means of providing enhanced performance in service.[2]
The addition of a specific polymer to asphalt binder has been shown to increase the performance of road pavement. When polymers are used, rutting and heat cracking resistance is usually improved. Additionally, it reduced fatigue damage, stripping, and improved temperature susceptibility. Polyethylene is extensively used plastic material, and it has been found to be one of the most effective polymer additives.[3, 4] Thin plastic bags are mainly composed of Low-Density Polyethylene (LDPE) and it’s widely used for packaging.[5] However, disposal of waste plastic bags (WPB) in large quantities has been a problem as it’s not a biodegradable material.[6] Several studies have been made on the possible use of waste plastic bags and plastics in general in asphalt mix.[7] Depending upon their chemical composition and physical state, they have been employed as binder modifiers or as aggregates coat as well as they can be used as elements which partially substitute portion of aggregates in asphalt mix. Results were encouraging and exhibit an improvement in performance of the modified asphalt mixes.[2, 8]
Studies are constantly searching on different methods to improve the performance of asphalt pavements. This study was conducted to investigate the possible use of waste plastic bags (WPB) as a modifier of hot-mix asphalt and to review the feasibility of incorporating WPB to improve the performance of asphalt mix.
II. MATERIALS PROPERTIES
A. Bitumen Properties
Asphalt binder 60/70 was used in this research. In order to evaluate bitumen properties number of laboratory tests have been performed such as: specific gravity, flash point, fire point, softening point and penetration. Table (1) shown thesummary of bitumen properties.
D. Blending of Aggregates
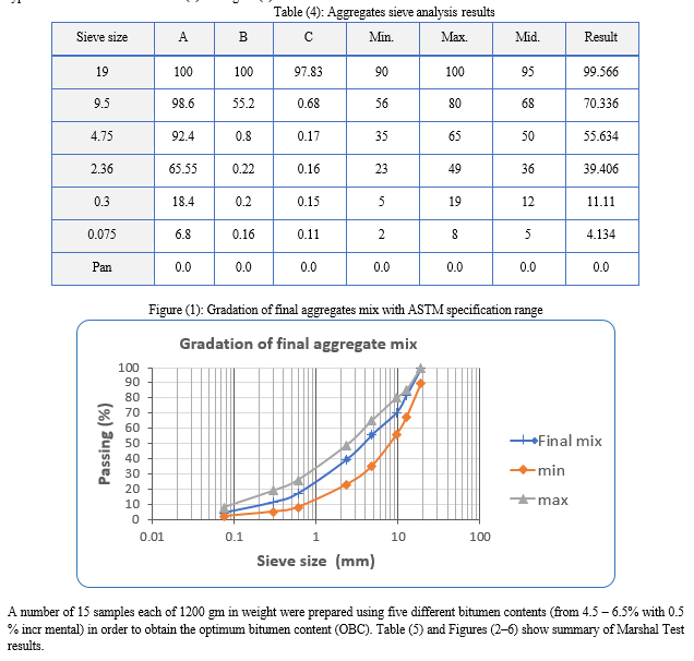
Asphalt mix requires the combining of two or more aggregates, having different gradations, to produce an aggregate blend that meets gradation specifications for a particular asphalt mix. Available aggregate materials (19), (9.5), (4.75), (2.36), (0.3), (0.075) and sand are integrated in order to get the proper gradation within the allowable limits according to ASTM specifications using mathematical trial method. This method depends on suggesting different trial proportions for aggregate materials from whole gradation. The percentage of each size of aggregates is to be computed and compared to specification limits. If the calculated gradation is within the allowable limits, no further adjustments need to be made; if not, an adjustment in the proportions must be made and the calculations repeated. The trials are continued until the percentage of each size of aggregate are within allowable limits. The percentage of aggregate type A was 60%, the percentage of aggregate type B was 20% and the percentage of aggregate type C was 20% as shown in table (4) and figure (1).
Conclusion
The following conclusions can be derived based on experimental work findings for WPB modified asphalt mixtures compared to regular asphalt mixtures:
1) WPB can be suitably used as a modifier for asphalt mixes for sustainable management of plastic waste in addition for improved performance of asphalt mix.
2) The optimum amount of WPB to be added as a modifier of asphalt mix was found to be (5.0%) by weight of OBC of the asphalt mix.
3) Asphalt mix modified with (5.0% WPB by OBC weight) has higher stability value compared to the conventional asphalt mix.
4) Asphalt mix modified with WPB exhibit lower bulk density as the WPB percentage increased. This decrease in bulk density can explained to be as a result of the low density of added plastic material.
5) Asphalt mix modified with WPB exhibit higher flow value as the WPB percentage increased. However, the stiffness of the modified mix is increased.
References
[1] F. Alatshan, A.A. and Mashiri, F. (2017) Effect of date palm fibers on the mechanical properties of concrete. INTERNATIONAL JOURNAL OF SUSTAINABLE Building Technology and Urban Development 8 (2), 68-80.
[2] Justo, C.V., A (2002) Utilization of waste plastic bags in bituminous mix for improved performance of roads. Centre for Transportation Engineering, Bangalore University, India. 1 (2), 25-58.
[3] Awwad, M.S., L (2007) The use of Polyethylene in hot asphalt mixtures. American Journal of Applied Sciences 4 (6), 390-396.
[4] Kalantar, Z.N., Mahrez, A & Karim, M (2010) Properties of bituminous binder modified with waste Polyethylene Terephthalate. MUTRFC 2010: proceedings of Malaysian Universities Transportation Research Forum & Conferences, University Tenaga Nasional, Malaysia. 2 (3), 23-58.
[5] Abdelmajeed Altlomate , A.F.M.F., JadanMohamed (2016) Experimental study of light-transmitting concrete. International Journal of Sustainable Building Technology and Urban Development, 1-7.
[6] Hamad, S., Ammar, W., Shaniba, S. and Altlomate, A. (2022). Condition Assessment of August A. Busch Bridge Deck Using Portable Seismic Property Analyzer and Ground Penetrating Radar. Open Journal of Civil Engineering, 12, 14-21. https://doi.org/10.4236/ojce.2022.121002
[7] Abdelmajeed Altlomate, F.A., Mohammed Elkher, Nurul Izzati Raihan Ramzi Hannan, Sharifah Salwa Mohd Zuki, Faisal Sheikh Khalid, Mohd Haziman Wan Ibrahim (2018) Evaluate the Current Expressions of Compression Strength and UPV Relationship. International Journal of Integrated Engineering 10 (8).
[8] Giriftinoglu, C. (2007) The Use of Plastic Waste Materials in Asphalt Pavements. M.Sc Thesis, Istanbul Technical University, TURKEY 1 (1), 1-35.
[9] Jendia, S. (2000) Highway Engineering-Structural Design. Dar El-Manara Library, Gaza, Palestine. 1 (1), 22-29.
[10] Sabina, K., T A, Sangita, Sharma D K & Sharma, B M (2009) Performance evaluation of waste plastic/polymer modified bituminous concrete mixes. Journal of Scientific & Industrial Research 2 (2), 975-979.
[11] Samie, H., Abdurraouf, O., Neil, A. and Wajdi, A. (2021) Use of Portable Seismic Property Analyzer and Ground Penetrating Radar to Assess Bridge Decks. Symposium on the Application of Geophysics to Engineering and Environmental Problems Proceedings, Denver, June 2021, 327. https://doi.org/10.4133/sageep.33-179
[12] Hamad, S., Ammar, W., Shaniba, S. and Altlomate, A. (2022). Bridge Deck Assessment of August a. Busch Using Portable Seismic Property Analyzer and Ground Penetrating Radar. The e-Journal of Nondestructive Testing, 2022-01. https://www.ndt.net/search/docs.php3?id=26507
[13] Hamad, S., Ammar, W. and Shaniba, S. (2021) Condition Assessment Using None Destructive Tests at Montauk Bridge Deck. International Journal for Research in Applied Science & Engineering Technology, 9, 581-588. https://doi.org/10.22214/ijraset.2021.39337