Order statistics are widely used in Statistical modeling and its Statistical inference. Inferential aspects based on complete and incomplete data. Parameter estimation for the Exponentiated Inverted Weibull distribution based on order statistics is studied. In this paper deals with a detailed discussion on density function order statistics for complete and ordering of the data of different parameters in EIW distribution. To estimate the parameters, calculate the Mean Square Error, Total Deviation and data is tested with Kolmogrov and Smirnov method.
Introduction
VII. Acknowledgements
Flaih et. al. (2012) proposed distribution Exponentiated Inverted Weibull distribution Distribution is more flexible distribution to facilitate better modeling lifetime data and my study.
Conclusion
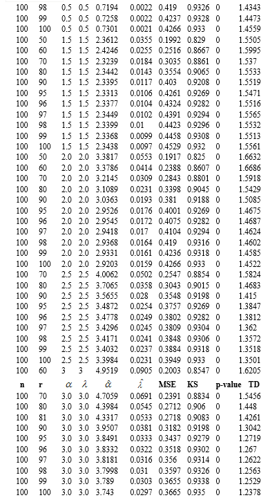
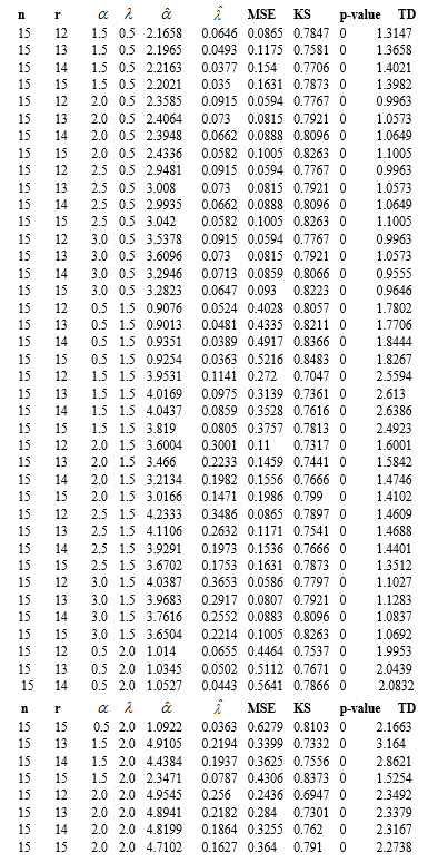
Simulation study is carried out to compare the performance of different estimate values. The performances of the parameters of the Exponentiated Inverted Weibull distribution (EIW) Distribution a detailed study on the statistical properties is presented. The theory to find the MLE of Exponentiated Inverted Weibull Distribution for complete and censored data has been provided.
A simulation study is implemented for investigating the accuracy of different estimates for different sample sizes for complete and censored values into MLE method. This study some of structural properties of the Type-II Censored statistics with MLE. The MLE method is employed for estimating the model parameters different order values. Hope that the proposed model will attract wider application in areas such as engineering, survival and medical data, economics, among other.
References
[1] Abernathy, R. B. (2004). The New Weibull Handbook, 4th Edition, Dept. AT Houston, Texas 77252-2608, USA.
[2] Aleem, M and Pasha G.R (2003). Ratio, product and single Moments of Order Statistics from Inverse Weibull Distribution. J.Stat. Vol. 10, (1) PP(1-7).
[3] Alizadeh, M., Ghosh, I., Yousof, H. M., Rasekhi, M., and Hamedani, G. G. (2017). The generalized odd generalized exponential family of distributions: Properties, characterizations and application. Journal of Data Science, 15(3), 443-465.
[4] Alzaatreh, A., Lee, C. and Famoye, F. (2013). A new method for generating families of continuous distributions. Metron, 71, 63-79.
[5] B.C. Arnold, N. Balakrishnan and H.N. Nagaraja, (1992). A First Course in Order Statistics, Wiley, New York.
[6] Balakrishnan, N., Kocherlakota, (1986). On the moments of order statistics from the doubly truncated logistic distribution, Journal of Statistical Planning and Inference, 13, pp.117–129.
[7] Barry C. Arnold, N. Balakrishnan and H.N. Nagaraja, (1992), A First Course in Order Statistics, Wiley & Sons, Inc.,.
[8] Aksop, S. Celebioglu, (2009), Joint distribution of any record value and an order statistics, International Mathematical Forum, vol. 4, no. 22, pp. 1091-1103.
[9] Calabria, R., and Pulcini, G. (1990). On the maximum likelihood and least squares estimation in the inverse Weibull distribution, Statistica Applicata, 2, 53-66.
[10] David H.A., Nagaraja H. N., (2003). Order Statistics, Third Edition, JohnWiley, New York.
[11] de Gusmão, F. R. S., Ortega, E. M. M., and Cordeiro, G. M. (2011). The generalized inverse Weibull distribution. Statistical Papers, 52, 591–619.
[12] Elbatal, I., and Muhammed, H. Z. (2014). Exponentiated generalized inverse Weibull distribution. Applied Mathematical Sciences, 8, 3997-4012.
[13] Flaih, A., Elsalloukha, A., Mendi. E., and Milanova. M., (2012). The Exponentiated Inverted Weibull Distribution. Applied Mathematics & Information Sciences, 6, No. 2 pp.167-171
[14] G. S. Mudholkar and A. D. Hutson, (1996), Exponentiated Weibull family: some properties and flood data application, Commun. Statist.-Theory Meth. 25, 3050-3083.
[15] G.S.Mudholka, D.K.Srivastava and M. Freimer, (1995), The exponentiated Weibull family: a reanalysis of the bus-motorfailure data, Technometrics 37, 436-445.
[16] Gupta, R. D., and Kundu, D. (1999). Generalized exponential distribution. Australian and New Zealand Journal of Statistics, 41 (2), 173–188.
[17] H. Rinne, (2009), The Weibull Distribution The Hand book. Chapman & Hall. New York.
[18] H.A. David and H.N. Nagaraja,(2003), Order Statistics (Wiley, Hoboken, New Jersey.
[19] Khan, M. S., and King, R. (2016). New generalized inverse Weibull distribution for lifetime modeling. Communications for Statistical Applications and Methods, 23(2), 147–161
[20] Lieblein, J., (1955). On moments of order statistics from Weibull distribution. Annals of Mathematical Statistics, 24, pp. 330–333.
[21] M. Pal, M. M. Ali and J. Woo, (2006),Exponentiated Weibull distribution, Statistica, 66, 2, 139-147.
[22] M. S. Khan, G. R. Pasha and A. H. Pasha, (2008), Theoretical analysis of inverse weibull distribution, WSEAS Transactions on Mathematics, 7, 2.
[23] M. Z. Raqab, (2002),Inferences for generalized exponential distribution based on record statistics, Journal of Statistical Planning and Inference, vol. 104, pp. 339-350.
[24] Pararai, M., Warahena-Liyanage, G., and Oluyede, B.O. (2014). A new class of generalized inverse Weibull distribution with applications. Journal of Applied Mathematics & Bioinformatics, 4(2), 17-35.
[25] R. D. Gupta and D. Kundu, (2001), Generalized exponential distribution: different methods of estimation, J. Statist.Comput. Simul., 69, 315-337.
[26] S.Nadarajah and A. K. Gupta, (2005) On the Moments of the Exponentiated Weibull Distribution, Communications in Statistics: Theory and Methods 34, 2, 253-256.
[27] Seunghyung Lee, Yunhwan Noh, Younshik Chung, (2017), Inverted exponentiated weibull distribution with applications to lifetime data, Vol, 24, No. 3, pp. 227-240.
[28] Soliman, E. A. Amin and A. A. A Aziz, (2010). Estimation and prediction from inverse Rayleigh distribution based on lower record values, Applied Mathematical Sciences, vol. 4, no. 62, pp. 3057-3066.