The bi-quadratic Diophantine equation with five unknown parameters is researched for its quasi complex arithmetic values. A few correlations between the solutions and plethora of other figures notably the triangular, pronic, stella octagula and gnomonic notation are effectively portrayed.
Introduction
Conclusion
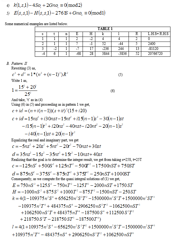
We have constructed an infinite number of non intriguing numerical solutions to the bi-quadratic Diophantine equation with five unknowns. For the equation beneath cognizance, various pattern of solutions can always be obtained.
References
[1] L.E.Dickson, History of the Theory of Numbers, Chelsea Publishing Company, New York, Vol II, 1952.
[2] Niven, Ivan, Zuckerman, S.Herbert and Montgomery, L.Hugh, An Introduction to the Theory of Numbers, John Wiley and Sons, Inc, New York, 2004.
[3] L.J. Mordell, Diophantine equations, Academic Press, New York, 1969.
[4] P Saranya , G. Janaki , Ascertainment on the integral solutions of the Bi-quadratic Diophantine Equation Parishodh Journal, volume 9,Issue III, ISSN NO: 2347-6648, March 2020.
[5] G Janaki, P Saranya, On the Ternary Quadratic Diophantine Equation, , Imperial Journal of Interdisciplinary Research, Vol 2, Issue 3, PP: 396-397, 2016.
[6] G Janaki , P Saranya, On the Ternary cubic Diophantine Equation , , Imperial Journal of Interdisciplinary Research, Vol 5, Issue 3, PP: 227-229, 2016.
[7] P Saranya, G Janaki, On the Quintic Non-Homogeneous Diophantine Equation , International Journal of Engineering Science and Computing, Vol 7, Issue 2, PP: 4685-4687, 2016.
[8] P Saranya, G Janaki, On the Exponential Diophantine Equation, , International Research Journal of Engineering and Technology, Vol 4, Issue 11, PP:1042-1044, 2017.
[9] P Saranya, G Janaki, Explication of the Transcendental Equation, , Adalya Journal, Vol 8, Issue 9, PP:70-73, 2019.
[10] P Saranya, G Janaki, Ascertainment On The Exponential Equation , Compliance Engineering Journal, Vol 10, Issue 8, PP:225-229, 2019.
[11] Janaki, G., & Saranya, P. (2016). Special Pairs of Rectangles and Narcissistic Numbers of Order 3 and 4. IRJET, 3(08), 721-723.
[12] Janaki, G., & Saranya, P. (2016). Special Rectangles and Narcissistic Numbers of Order 3 and 4. International Journal For Research in Applied Science and Engineering Technology, 4(6), 630-633.
[13] C. Saranya, G. Janaki “Observations On The Ternary Quadratic Equation ”, Jamal Academic Research Journal – An Interdisciplinary, Special Issue, February 2016. Pg. No. 305-308, Impact Factor:-, ISSN No: 0973-0303.
[14] C. Saranya, G. Janaki “Observations On The Ternary Quadratic Diophantine Equation ”, International Journal of Innovative Research in Science, Engineering and Technology, Volume 5, Issue 2, February 2016. Pg. No. 2060-2065, Impact Factor: 5.442, ISSN No: 2347-6710.
[15] C. Saranya, G. Janaki “ Integral Solutions of The Ternary Cubic Equation ”, International Journal of Engineering and Technology, Volume 4, Issue 3, March 2017. Pg. No. 665-669, Impact Factor: 5.181, ISSN No: 2395-0056.
[16] C. Saranya, G. Janaki “ Integral Solutions Of The Homogeneous Biquadratic Diophantine Equation 3(x4-y4)-2xy(x2-y2)=972(z+w)p3”, International Journal for Research in Applied Science and Engineering Technology, Volume 5, Issue VIII, August 2017. Pg. No. 1123-1127, Impact Factor: 6.887, ISSN No: 2321-9653.
[17] C. Saranya, G. Janaki “ Integral Solutions Of The Homogeneous Quintic Diophantine Equatio x5-y5-x2y2(x-y)=972(x-y)(z+w)2p2, International Journal for Scientific Research & Development, Volume 5, Issue 7, September 2017. Pg. No. 75-77, Impact Factor: 4.396, ISSN No: 2321-0613.
[18] S.Vidhya, G.Janaki “On the integer solutions of the homogeneous biquadratic Diophantine equation x4 - y4= 82(z2 – w2)p2”, International Journal of Engineering Science and Computing, Vol 6, Issue 6, June 2016, Pg.no: 19-22 Impact Factor: 5.611, ISSN NO: 2321-3361.
[19] S.Vidhya, G.Janaki “Observations on Ternary Quadratic Equation z2 = 82x2 + y2”, International Research Journal of Engineering and Technology, Vol 4, Issue 3, March 2017, Pg.no: 1239-1245, Impact Factor: 5.181, ISSN NO: 2395-0056.