Ijraset Journal For Research in Applied Science and Engineering Technology
Authors: Mr. Munde Shrimant Dnynoba , Miss. Aswar. A, Mr. Dr. Hingane. L. D.
DOI Link: https://doi.org/10.22214/ijraset.2022.39761
Certificate: View Certificate
I. INTRODUCTION
(This session will have several occasions aimed at understanding structures using three-dimensional visualization. A special page lists instructions for enabling 3D structure visualization. You will need to have ChimeTM plug-in on your local computer to perform this important task. If you have any questions please write or call the instructor.)

A. Structure
Cyclopentanoperhydrophenanthrene skeleton

Natural steroids have two methyls

Rings are labeled A, B, C and D.

B. Numbering
Numbering of each position essentially follows a uniform pattern except for the methyls.

whereas A/B rings have carbon 19, C/D rings have carbon 18. Cholesterol is an important member of the cholestane series of steroids.
C. Conformation
There are four rings in a steroid skeleton and hence there are three fusion points. A/B, B/C and C/D rings share two carbons each (fusion). Every fusion center can either be cis- or trans-fused.
For two-ring system, the structures of cis - and trans-fused rings look like this: When the tow hydrogens are oriented opposite to each other with the ring system thought to as forming a plane, the ring fusion is called trans. When there are directed on the same side, it is called cis. To view the structures in three-dimension (using ChimeTM) double-click on the cis and trans hyperlinks (double-click here to view individual chair and boat forms).

The structures most likely feasible are :
trans-trans-trans (most natural and synthetic steroids have this skeleton, e.g., 5?-dihydrotestosterone)
cis-trans-trans (some natural steroids have this skeleton, e.g., cholic acids)
cis-trans-cis (few natural steroids have this skeleton, e.g. cardiac glycosides (next semester))
The three-dimensional structures of natural steroids look like this : Click on individual structures to view the structure in 3D.

D. Configuration
The steroid skeleton (all carbons) with its methyls (18 and 19-CH3) oriented as coming towards the viewer (represented as a bold line) is the reference plane in defining whether a particular hydrogen or a substituent is towards the viewer (?) or going away from the viewer (cross-hatched, ?). Thus in a two-dimensional representation, with the 18- and 19-CH3 bold, all bold substituents are ? and all cross-hatched substituents are ?.

E. Classes
Following are the classes of steroids based on the number of nuclear carbons. Additional carbons that are not nuclear are not to be considered in classifying a steroid.

F. Nomenclature
Study the following examples for an understanding on how the steroids are named. Use the above information on numbering, classes and configuration to deduce the name.

G. Biosynthesis of Cholesterol
The key step in the biosynthesis of cholesterol is the conversion of 3-hydroxy-3-methyl-glutaryl-Coenzyme A to mevalonate by HMG CoA reductase. This is the rate limiting step in cholesterol biosynthesis.

Cholesterol is the raw material for synthesis of all steroid hormones. The conversion occurs in the mitochondria of cells thus requiring the transport of cholesterol from outside cells to inside.
Cholesterol is also metabolized into cholic acid in the liver. Cholic acids are a part of bile acids that are released into the intestines.
[home] [school of pharmacy] [department of medicinal chemistry]
[links to sites of interest and download center] [instructions for downloading and installing software]
©2000 VCU School of Pharmacy
Revised: October 10, 2000
Questions or Comments : Dr. Umesh R. Desai
II. THE NOMENCLATURE OF STEROIDS RECOMMENDATIONS 1989 3S-1
A. 3S-1. General



7). 3S-1.6. Stereochemistry of substituents in the side chain: The stereochemistry of substituents on the steroid side chain is described by the sequence rule procedure (see [3], section E), unless implied by the name (see 3S-2.4 and Table 1). Examples:

REFERENCES
1. IUPAC Commission on the Nomenclature of Organic Chemistry (CNOC) and IUPAC-IUB Commission on Biochemical Nomenclature (CBN). The Nomenclature of Steroids, Revised tentative rules, 1967. Arch. Biochem. Biophys. 136, 13-35 (1970), amended 147, 4-7 (1971); Biochem. J. 113, 5-28 (1969), amended 127, 613-616 (1972); Biochemistry, 8, 2227-2242 (1969), amended 10, 4994-4995 (1971); Biochim. Biophys. Acta, 164, 453-486 (1968), amended 248, 387-390 (1971); Eur. J. Biochem. 10, 1-19 (1969), amended 25, 1-3 (1972); Pure Appl. Chem. 31, 285-322 (1972), with amendments incorporated; also pp. 133-153 of [2], with amendments included.
2. International Union of Biochemistry (1978) Biochemical nomenclature and related documents, The Biochemical Society, London.
4. A. Butenandt and L. Poschmann, Ber. Dtsch. Chem. Ges. 73, 893-897 (1940); cf. also A. Butenandt, L. Karlson-Poschmann, G. Failer, U. Schiedt and E. Bilkert, Liebigs Ann. Chem. 575, 123-144 (1951).
III. THE NOMENCLATURE OF STEROIDS RECOMMENDATIONS 1989 3S-2.1 TO 3S-2.4

4) 3S-2.4. Parent hydrocarbons with side chain at C-17: The names used for the hydrocarbons 15 and 16 with methyl groups at both C-10 and C-13 and a side chain R are listed in Table 1. (See addendum for pronunciation of pregnene.)
Click here for "table free" view if the table below is faulty.
Table 1. Hydrocarbons with side chain at C-17


IV. THE NOMENCLATURE OF STEROIDS RECOMMENDATIONS 1989 3S-3
A. 3S-3. Steroids with Heterocyclic Rings in the Side Chain




REFERENCES
2. International Union of Biochemistry (1978) Biochemical nomenclature and related documents, The Biochemical Society, London.
3. International Union of Pure and Applied Chemistry, Nomenclature of organic chemistry, Sections A, B, C, D, E, F and H, 1979 Edition, Pergamon Press, Oxford, 1979. Section E appeared also in pp. 1-18 of [2], and section F in pp. 19-26 of [2] and in Eur. J. Biochem. 86, 1-8 (1978).
Continued in 3S-4.0 to 3S-4.3 functional groups.
Return to Steroids Home Page
V. THE NOMENCLATURE OF STEROIDS RECOMMENDATIONS 1989 3S-4.0 TO 3S-4.3
A. 3S-4. Functional Groups
2. 3S-4.1. Acids, Salts and Esters: Acids, their salts and esters are generally named by use of suffixes.
(a) If a methyl group is changed into a carboxyl group, the suffix is -oic acid; it is preceded by the appropriate locant. In biochemical papers, these compounds are often named as anions, the counter-ion being unspecified; in this case, the suffix is -oate. Examples:



REFERENCES
2. International Union of Biochemistry (1978) Biochemical nomenclature and related documents, The Biochemical Society, London.
3. International Union of Pure and Applied Chemistry, Nomenclature of organic chemistry, Sections A, B, C, D, E, F and H, 1979 Edition, Pergamon Press, Oxford, 1979. Section E appeared also in pp. 1-18 of [2], and section F in pp. 19-26 of [2] and in Eur. J. Biochem. 86, 1-8 (1978).
VI. THE NOMENCLATURE OF STEROIDS RECOMMENDATIONS 1989 3S-5
A. 3S-5. Stereochemical Modifications
1) 3S-5.1. Use of the prefix ent-: If, as for instance in a synthetic compound, there is stereochemical inversion at all the asymmetric centres whose configurations need not be specified in a name, the italicized prefix ent- (a contracted form of enantio-) is placed in front of the complete name of the compound. This prefix denotes inversion at all asymmetric centres (including those due to named substituents) whether these are cited separately or are implied in the name. Examples:


REFERENCES
2. International Union of Biochemistry (1978) Biochemical nomenclature and related documents, The Biochemical Society, London.
3. International Union of Pure and Applied Chemistry, Nomenclature of organic chemistry, Sections A, B, C, D, E, F and H, 1979 Edition, Pergamon Press, Oxford, 1979. Section E appeared also in pp. 1-18 of [2], and section F in pp. 19-26 of [2] and in Eur. J. Biochem. 86, 1-8 (1978).
Continued in 3S-6 homo and nor.
Return to Steroids Home Page
VII. THE NOMENCLATURE OF STEROIDSRECOMMENDATIONS 19893S-6
A. 3S-6. Lengthening and Shortening of Side Chains and Elimination of Methyl Groups
1) 3S-6.1. Use of the prefix homo-: Lengthening of a side chain by insertion of one (or more) methylene groups is indicated by the prefix homo- (dihomo- etc.). The prefix is preceded by the (complex) locant(s) of the carbon atom(s) inserted. Examples:

Notes
(1) If the methylene group is inserted into a methyl C-H bond or next to a methylene group the letter a (b etc.) is added to the locant of the highest numbered atom (e.g. example 69 is 27a-homo- not 26a-homo-).
(2) If the methylene group is inserted between two side-chain branch points that are directly linked, or between C-17 and a branch point at C-20 (i.e. Table 1 except pregnane) both locants are used with the letter a (b etc.) and the higher numbered locant in parenthesis. The higher number may be omitted in a structural formula but must be used in the name of the homo-steroid (e.g. 17a in compound 71).
2) 3S-6.2. Use of the prefix nor-: Elimination of a methylene group (-CH2-) from a steroid side chain is indicated by the prefix nor, which in all cases is preceded by the number of the carbon atom that disappears. When alternatives are possible, the number attached to nor- is the highest permissible. Elimination of two methylene groups is indicated by the prefix dinor-. The remainder of the original steroid numbering is retained (see 73). Examples:

3. 3S-6.3. Preference between homo- and nor-: A compound with a skeleton that differs from the fundamental parent systems (see 3S-2.1 to 3S-2.4 and 3S-3.1 to 3S-3.4) by changes in the side chain(s) can often be named by several different methods involving either side chain lengthening (3S-6.1) or shortening (3S-6.2) and/or alkylation (3S-4.0) and/or addition of carbon atoms associated with a functional group [3S-4.1(b), 3S-4.2(a), 3S-4.4(a)]. The preferred name is selected by the following recommendations applied in order:
(a) A name should be derived by the fewest number of modifications of the fundamental parent system. Both detachable (e.g. alkyl) and non-detachable (e.g. homo or nor) prefixes are considered as modifications. Dihomo, dinor, etc., are counted as two modifications each.
(b) Non-detachable prefixes are preferred to detachable prefixes. Examples:

Continued in 3S-7 ring contraction and expansion.
Return to Steroids Home Page
VIII. THE NOMENCLATURE OF STEROIDS RECOMMENDATIONS 1989 3S-7
A. 3S-7. Ring Contraction and Expansion
In 4-nor-5-androstane (78) C-4 is missing.

2. 3S-7.2. Use of the prefix des-: The removal of a terminal ring, with addition of a hydrogen atom at each junction atom with the adjacent ring, is indicated by the prefix des-, followed by the italic capital letter designating that ring (3S-1.1); substituents and stereochemistry implied in the trivial name remain unless otherwise stated. Example:

Note The prefix des- is used here, not de-, because of the ease of confusing de- with the letter D in speech.
3. 3S-7.3. Use of the prefix homo-: Ring expansion by inclusion of one methylene group is indicated by the prefix homo-, by two methylene groups by dihomo-. The prefix is preceded by the (complex) locant(s) of the carbon atom(s) inserted. These are chosen in the following way:
(a) If the methylene group is not inserted between directly linked bridgeheads or between C-13 and C-17 carrying a side chain, the letter a, b etc. is added to the locant of the highest numbered atom of the ring that is not a bridgehead. Examples:

(b) If the methylene group is inserted between directly linked bridgeheads or between C-13 and C-17 carrying a side chain, the letter a (or a and b) is added to the pair of locants indicating the atoms on either side, and the higher numbered locant is placed in parentheses. Examples:

Notes
(1) Names incorporating homo- and nor- are normally preferred to alternatives incorporating cyclo- and seco- (cf. examples 84 and 86).
(2) A compound with excessive modification of the steroid skeleton usually is best described by a systematic name. It is recommended that no more than two of the steroid rings be altered by any combination of the prefixes homo- and nor-.
5. 3S-7.5. Use of the prefix abeo-: As an alternative to the application of nor- and homo- to the same molecule, the abeo system may sometimes be used. A compound that may be considered to arise from a steroid by bond migration may be given the name laid down in the preceding Recommendations for the steroid in question, to which is attached a prefix of the form x(y→z)abeo-. This prefix is compiled as follows: a numeral denoting the stationary (unchanged) end of the migrating bond (x) is followed by parentheses enclosing (i) the number denoting the original position (y) from which the other end of this bond has migrated, (ii) an arrow, and (iii) the number (z) denoting the new position to which the bond has moved (see formulae 87a and 87b).

The original numbering is retained for the new compound and is used for the numbers x, y and z. It is always necessary to specify the resulting stereochemistry. Examples:
Notes
(1) The abeo nomenclature described in this Recommendation is permissive, not compulsory. It is most suitable for use in discussions of reaction mechanism and biogenesis. For registration in a general (non-steroidal) compendium, the general systematic names, or names assigned by the homo- or nor- method, may be preferable. Thus 88 is identical with 86.
(2) The abeo system has the advantage that the normal numbering of the steroid skeleton is retained. An example is 89, the parent structure of some steroid alkaloids. Also, 84 may be named 9(10→19)abeo-5,10a(H)-pregnane, C-9a remaining C-19.
REFERENCES
2. International Union of Biochemistry (1978) Biochemical nomenclature and related documents, The Biochemical Society, London.
3. International Union of Pure and Applied Chemistry, Nomenclature of organic chemistry, Sections A, B, C, D, E, F and H, 1979 Edition, Pergamon Press, Oxford, 1979. Section E appeared also in pp. 1-18 of [2], and section F in pp. 19-26 of [2] and in Eur. J. Biochem. 86, 1-8 (1978).
Continued in 3S-8 and 3S-9 seco and viamin D.
Return to Steroids Home Page
IX. THE NOMENCLATURE OF STEROIDS RECOMMENDATIONS 1989 3S-8 AND 3S-9
A. 3S-8 Ring Fission

 - Compatibility Mode - Word.png)

a 24R-configuration
b 24S-configuration

Notes
(1) The names calciol, calcidiol, calcitriol imply not only the stereochemistry but also the location of the hydroxyl group(s). Compounds with hydroxyl groups in other positions must be named either according to 3S-9.4 (below), or in the usual semisystematic way applying Recommendation 3S-8.1.
(2) The trivial names cholecalciferol and ergocalciferol are retained. They should, however, not be used for naming metabolites.
(3) Because of the nature of the sequence rule, it is not possible to transfer R or S from one compound to its derivatives. Calciol is a 3S compound but calcitriol is a 3R compound though the absolute configuration of the hydroxyl group at C-3 is not changed.
3). 3S-9.2. Modifications of the Triene System: The prefix ta- (derived from tachysterol) indicates a change of the triene system from (5Z,7E)-5,7,10(19) to (6E)-5(10),6,8 as in tacalciol 95a and 95b.


REFERENCE
5. IUPAC-IUB Joint Commission on Biochemical Nomenclature (JCBN), Nomenclature of vitamin D. Recommendations 1981. Arch. Biochem. Biophys. 218, 342-346 (1982); Endokrinol. Inform. 1982(2), 53-62; Eur. J. Biochem. 124, 223-227 (1982); Mol. Cell. Biochem. 49, 177-181 (1982); Pure Appl. Chem. 54, 1511-1516 (1982).
Continued in 3S-10 Additional rings.
Return to Steroids Home Page
X. THE NOMENCLATURE OF STEROIDS RECOMMENDATIONS 1989 3S-8 AND 3S-9
A. 3S-8 Ring Fission
1) 3S-8.1. Use of the prefix seco-: Fission of a ring, with addition of a hydrogen atom at each terminal group thus created, is indicated by the prefix seco-, the original steroid numbering being retained. (If more than one ring is opened, general systematic nomenclature may be preferable. The principles of Note 2 to Recommendation 3S-7.4 apply also to seco-steroids.) Examples:

B. 3S-9. Vitamin D Group


Notes
(1) The names calciol, calcidiol, calcitriol imply not only the stereochemistry but also the location of the hydroxyl group(s). Compounds with hydroxyl groups in other positions must be named either according to 3S-9.4 (below), or in the usual semisystematic way applying Recommendation 3S-8.1.
(2) The trivial names cholecalciferol and ergocalciferol are retained. They should, however, not be used for naming metabolites.
(3) Because of the nature of the sequence rule, it is not possible to transfer R or S from one compound to its derivatives. Calciol is a 3S compound but calcitriol is a 3R compound though the absolute configuration of the hydroxyl group at C-3 is not changed.
3) 3S-9.2. Modifications of the triene system: The prefix ta- (derived from tachysterol) indicates a change of the triene system from (5Z,7E)-5,7,10(19) to (6E)-5(10),6,8 as in tacalciol 95a and 95b.

The prefix iso- (derived from isovitamin D) when applied to calciol changes the location of the triene system to 1(10),5,7 with 7E configuration implied; the geometry at position 5, when known, must be specified by 5E 96 or 5Z 97.

4. 3S-9.3. Modification of the side Chain: The prefix er- (derived from ergosterol) is used to indicate the side chain of the vitamin D2 or ergocalciferol. This prefix implies the 22E,24R configuration as given in formula 98 unless otherwise specified.

5. 3S-9.4. Additional Hydroxyl Groups: Additional hydroxyl groups cannot be indicated by modification of the suffix -ol, -diol, -triol, -tetrol, since these have definite meanings (see Table 3). They can, however, be added as prefix, e.g. (1S)-1-hydroxycalciol, 16-hydroxycalciol. If possible, the full stereochemistry should be given, e.g. (25R)-26-hydroxycalciol. For other modifications and more detailed discussion of the nomenclature problems in the vitamin D field, the reader is referred to the original document [5].
REFERENCE
5. IUPAC-IUB Joint Commission on Biochemical Nomenclature (JCBN), Nomenclature of vitamin D. Recommendations 1981. Arch. Biochem. Biophys. 218, 342-346 (1982); Endokrinol. Inform. 1982(2), 53-62; Eur. J. Biochem. 124, 223-227 (1982); Mol. Cell. Biochem. 49, 177-181 (1982); Pure Appl. Chem. 54, 1511-1516 (1982).
XI. THE NOMENCLATURE OF STEROIDS RECOMMENDATIONS 1989 3S-10

Notes
(1) In a composite bridge such as epoxymethano in compound 100 the first number of the two locants cited in front of the bridge corresponds to the first cited component of the composite bridge i.e. epoxy (recommendation B-15.2 in [3]).
(2) With linear bridges such as in compounds 99 and 100 the atoms may be labeled for identification by the superscript number starting from the higher numbered attachment position (see 3S-2.7). It is not recommended that the steroid numbering should be continued with the bridge atoms as the highest used number depends on the steroid skeleton present (recommendation A-34.2 in [3]).
(3) With a cyclic bridge, such as in compound 101, the numbering of the ring system is retained but each number is primed if needed for identification or further substitution. The name of the bridge includes the attachment positions in front of the name. These locants and any required to name the ring are cited within square brackets without any primes (ref. 3, recommendation B-3.1). Low numbers are preferred for the attachment positions with the lower number nearer the higher numbered attachment position of the steroid.
This system should not normally be extended to adjacent positions, except for simple symmetric bridges, e.g. 102. For other cases see 3S-10.2. Example:

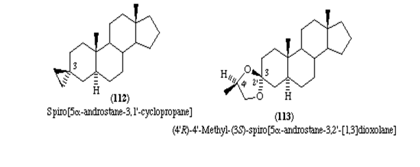
3. 3S-10.2. Additional ring(s) fused to a steroid: Fusion of a carbocyclic or heterocyclic ring component with the maximum number of non-cumulative double bonds to a steroid may be indicated by a modification of fusion nomenclature (see recommendations A-21.3 to A-21.6, B-3.1 to B-3.3 in [3]). The preferred component is always the steroid. The name of the carbocyclic or heterocyclic attached component is modified to give its prefix form and is cited in front of the steroid name with the nature of the fusion indicated between square brackets. The numbering of the steroid moiety is retained; the atoms of the attached component are identified by primed locants. Those involved in fusion are cited in the order corresponding to those of the steroid. Examples:



[1] IUPAC Commission on the Nomenclature of Organic Chemistry (CNOC) and IUPAC-IUB Commission on Biochemical Nomenclature (CBN). The Nomenclature of Steroids, Revised tentative rules, 1967. Arch. Biochem. Biophys. 136, 13-35 (1970), amended 147, 4-7 (1971); Biochem. J. 113, 5-28 (1969), amended 127, 613-616 (1972); Biochemistry, 8, 2227-2242 (1969), amended 10, 4994-4995 (1971); Biochim. Biophys. Acta, 164, 453-486 (1968), amended 248, 387-390 (1971); Eur. J. Biochem. 10, 1-19 (1969), amended 25, 1-3 (1972); Pure Appl. Chem. 31, 285-322 (1972), with amendments incorporated; also pp. 133-153 of [2], with amendments included. [2] International Union of Biochemistry (1978) Biochemical nomenclature and related documents, The Biochemical Society, London. [3] International Union of Pure and Applied Chemistry, Nomenclature of organic chemistry, Sections A, B, C, D, E, F and H, 1979 Edition, Pergamon Press, Oxford, 1979. Section E appeared also in pp. 1-18 of [2], and section F in pp. 19-26 of [2] and in Eur. J. Biochem. 86, 1-8 (1978). [4] A. Butenandt and L. Poschmann, Ber. Dtsch. Chem. Ges. 73, 893-897 (1940); cf. also A. Butenandt, L. Karlson-Poschmann, G. Failer, U. Schiedt and E. Bilkert, Liebigs Ann. Chem. 575, 123-144 (1951). [5] IUPAC-IUB Joint Commission on Biochemical Nomenclature (JCBN), Nomenclature of vitamin D. Recommendations 1981. Arch. Biochem. Biophys. 218, 342-346 (1982); Endokrinol. Inform. 1982(2), 53-62; Eur. J. Biochem. 124, 223-227 (1982); Mol. Cell. Biochem. 49, 177-181 (1982); Pure Appl. Chem. 54, 1511-1516 (1982). [6] International non-proprietary names (INN) for pharmaceutical substances, cumulative list 6, World Health Organization, 1982.
Copyright © 2022 Mr. Munde Shrimant Dnynoba , Miss. Aswar. A, Mr. Dr. Hingane. L. D.. This is an open access article distributed under the Creative Commons Attribution License, which permits unrestricted use, distribution, and reproduction in any medium, provided the original work is properly cited.
Paper Id : IJRASET39761
Publish Date : 2022-01-02
ISSN : 2321-9653
Publisher Name : IJRASET
DOI Link : Click Here
Submit Paper Online
