Nowadays, Zn-loaded wastewater released from industrial activities pose an increasing risk to human health and the environment. Adsorption processes have been widely used for the removal of zinc from the waste stream.. In this study, the efficiency of GCC adsorbent as a novel green technology in the removal of zinc from synthetic wastewater is analyzed. Batch adsorption experi- ments were conducted to evaluate the effect of contact time, pH, adsorbent dose, and initial concentration of adsorbate on Zn removal.
The surface morphology of GCC adsorbent was characterized by Fourier transform infrared spectroscopy. Experimental results showed that GCC adsorbent could perform effectively in a wide range of experimental conditions. However, in optimum experimental conditions, such as 150 min contact time, pH 8, and 150 g/L of adsorbent dose GCC adsorbent removes 96.45% of Zn from an aqueous solution having 30 mg/L of Zn concentration.
Introduction
I. INTRODUCTION
Heavy metal pollution in aquatic environments has unavoidably risen as a result of the massive rise in heavy metal consumption over the past few decades. Heavy metals are present in larger concentrations in industrial effluent, which can contaminate water when released into the environment.
The toxic heavy metals zinc, copper, nickel, mercury, cadmium, lead, and chromium are of particular concern when treating industrial wastewaters. At least 20 metals are thought to be hazardous, and around half of them are released into the environment in proportions that endanger both human health and the ecosystem.
Heavy metals were mostly released into the environment through metal plating activities, mining, fertiliser, tannery, battery, paper, pesticide, galvanising, stabiliser, thermoplastic, pigment, and other industries. With an atomic weight of 65.37, zinc is a bluish white metal. Chemically active zinc easily forms alloys with other metals. It is employed by a variety of industries to manufacture several zinc alloys and compounds. As a result of bioaccumulation, high zinc consumption may have hazardous side effects such as teratogenesis, mutagenesis, and carcinogenesis.
II. MATERIAL AND METHODS
A. Chemicals and Analytical Methods
The chemicals were used in these set of experimental activities were all of analytical grade. The standard stock solution of zinc was prepared using Zinc sulphate heptahydrate. Double-distilled water and analytical-grade reagents are used to prepare all of the necessary solutions. By using the proper dilutions, synthetic samples with various zinc contents are created from this stock solution. Fourier transform infrared (FTIR) spectroscopy allowed for the identification of the functional groups involved in the adsorption process (Model 65 spectrometer, USA).For pH measurements, a pH meter (Orion 900S2) with a glass electrode and an internal reference electrode was used. In adsorption tests, a thermostated shaker of the GFL 3033 type was used to stir the liquids.
B. Adsorbent Preparation
In this study, chitosan were used as basic unit and were cross-linked with glutraldehyde solution. Chitosan was supplied by SWAKIT biotech pvt. Ltd. as a flaked material, with a deacetylation percentage as 87%, defined by FTIR spectrometry. Moisture content of sorbent particles, for both crosslinked and uncrosslinked sorbens, was determined at 10%; sorbent mases were expressed on a wet basis except where otherwise noted.
C. Chitosan Crosslinking
The glutraldehyde crosslinking bath concentration varying between 0.145 and 1.45 M. The ratio of glutraldehyde to chitosan (crosslinking ratio CR: mol GA/mol NH2) varied between 0.42 and 4.15. Unless specified, the crosslinking ratio for flakes was 2.22 (standard level of crosslinking).
The crosslinking lasted for 16 h. The crosslinked chitosan particles were extensively rinsed with demineralized water. The crosslinking is stable in our experimental conditions: solubility testing has sorbent, without reference to actual chitosan shown that depending on the crosslinking ratio the sorbent loss ranges between less than 1% 4% (for the lowest crosslinking ratio) in both hydrochloric and sulfuric acid solutions.
D. Batch Adsorption Experiments
At room temperature, measured amounts of the GCC adsorbent were agitated at a velocity of 150 rpm in 50 ml of synthetic wastewater with the necessary pH, contact duration, dosage of the adsorbent, and starting concentration of the adsorbate. When the adsorbent was added, the timing began.
These tests were conducted in several 150 ml Erlenmeyer flasks. The material was collected and filtered using Whatman membrane filter paper with a 0.45 m pore size after being shaken.
Finally, the sample was examined for any leftover zinc ions in the solution using an FAAS (Flame Atomic Absorption Spectrophotometer, Model 210 VGP). The experiments were carried out in three copies, and the average outcomes are shown. Based on the following equations, the removal efficiencies of GCC adsorbent were examined. Equation 1 is used to get the percentage of chromium removal, while Equation 2 is used to determine the adsorption capacity qe.
where V is the volume of the solution in L, w is the quantity of adsorbent utilised in g, and qe is the removal efficiency of adsorbent in mg/g. Co and Ce are the starting and equilibrium liquid-phase concentrations of the Cr ions in mgL-1, respectively.
E. Isotherm and Kinetic Studies
All Zn(II) ion adsorption equilibrium isotherms were run at the ideal pH of 5.0 and temperature of 25 C at 150 rpm. Zn(II) ions were present in 15 mL of aqueous solution with specific starting concentrations (C0, mg/L) ranging from 25 mg/L to 250 mg/L. A dose of 20 mg sorbent was added to this mixture.
There was a correlation between the residual metal ion concentration in the aqueous phase at equilibrium and the amount of metal ions adsorbed on the adsorbent. It was demonstrated that the equilibrium concentration of the metal ion in solution increased the adsorption capacity, progressively saturating the adsorbent.
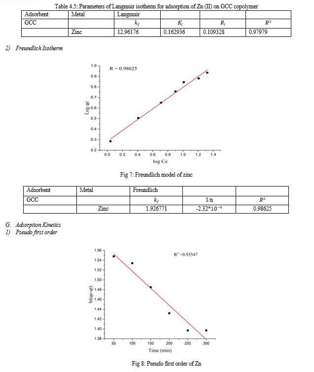
For interpretation of the adsorption data, the Langmuir and the Freundlich isotherm models were used. The linear form of the Langmuir isotherm is given by
where qe and Ce are the amount adsorbed (mg/g) and the adsorbate concentration on solution (mg/L), both at equilibrium; KL (L/mg) is the Langmuir constant related to the energy of adsorption; and qm (mg/g) is the maximum adsorption capacity for monolayer formation on adsorbent.
The linearized form of the Freundlich isotherm model is shown in Eq. (5)
To elucidate the mechanism, the surface interactions involved in the adsorption process (with pH 5.0) were examined. FTIR spectra have been a useful tool in identifying the existence of certain functional groups in a molecule as each specific chemical bond often shows a unique energy absorption band. The FTIR spectra of raw chitosan, GCC co-polymer, and Cu-Zn loaded GCC resin are shown in Figs. a through c, respectively. Chitosan's hydroxyl (-OH groups, -NH2 groups, and intermolecular hydrogen bonds have been verified to exhibit stretching vibrations at 3297 cm-1. Additionally, the FTIR spectra confirmed the CH3 symmetric stretch (2879 cm-1) and C-N stretching vibration of amide I (1650 cm-1). The additional peaks, which correspond to the C-O-C bending vibration and C-OH stretching vibration, were also seen at 1030 cm-1 and 538 cm-1.
Now, comparing the FTIR spectra of the GCC polymer resin with those of chitosan reveals some distinct changes in several of the peaks (from 3297, 2879, 1650, 1030, 538 cm-1 to 3355, 2941, 1649, 1035, 531 cm-1). This demonstrates that the chitosan and glutaraldehyde were cross-linked.
Significant peak shifting is seen for the metal-loaded GCC between 3355 and 531. This is due to the interaction of Zn(II) with the -NH group, which leads to a greater chemisorption effect. As we can see, the heavy metal interaction with the GCC resin causes the peaks to move to 3297, 2879, 1650, 1030, 538 cm-1. Hence the structure of the co-polymer predicts in the Fig is in agreement with the outcome obtained from FTIR studies.
B. Effects of pH
The effect of pH on the adsorption process were examined by understanding the batch procedure at 180 min of contact time , 120 rpm of continuous agitation, and 15gL-1 of the adsorbents. As we can see the % removal increases as the pH increases, at pH 8 we can see max removal efficiency is 84%. After pH 8 there is little sag on the curve because the adsorption capacity of the adsorbent decreases.
IV. ACKNOWLEDGEMENTS
The authors thank Dr. A.K. Shukla, CED, IET Lucknow and Asst. Prof. Anand Patel CED, IET Lucknow, their holistic support and Ecomen Laboratories Pvt. Ltd. Lucknow, to providing the essential facilities for conducting this research.
Conclusion
In the exploration result of this study, GCC copolymer was used for the removal of zinc from synthetic wastewater. The characterization results of Fourier transform of GCC adsorbent, which shows the pores of the surface of the adsorbent before and after adsorption, were an indicator for its adsorption capacity. The adsorption capacity of GCC adsorbent was influenced by a number of factors such as contact time, pH, adsorbent dosage, and initial concentration of adsorbate. The optimum range of contact time, pH, GCC dose, and initial concentration of zinc obtained by the batch experiment was 150 min, pH 8, 150 g/L, and 30 mg/L, respectively. The adsorption kinetics of chromium is accurately supported with a pseudo-second- order model. The isotherm data were analyzed by Langmuir and Freundlich isotherms in which Freundlich isotherm fits well with correlation coefficient (R2 = 0.98625). The adsorption kinetics of GCC is accurately supported with a pseudo-second- order model.