The majority of the structures are involved with architectural importance and it is highly impossible to achieve uniform structural properties in all directions. Hence earthquake resistant design codes considered it as irregular frames based on relative difference in the story properties. In many cases these irregularities are responsible for structural collapse of buildings under earthquake ground motions. The seismic response of buildings with irregular distribution of stiffness along the height may be different from that of regular building. Also, past earthquakes showed that structure may be subjected to sequence of ground motions but current codes do not have guidelines for such cases. It is considered that aftershock do not cause any more damage to damaged structure by the preceding mainshock ground motion. In this study steel moment resisting frame buildings are evaluated to understand the seismic response of vertical stiffness irregular frames subjected to mainshock-aftershock ground motions. The 9-story steel moment resisting frame building situated in Los Angeles is used in this study was originally developed as part of the SAC steel project. In this study soft and stiff storey case was considered at three different locations along the height, i.e., at bottom storey, mid-height storey and top storey. The single modification factor is used for irregularity. For comparison purpose dynamic properties of regular and irregular frames are kept same. Two sets of 6 records were selected representing a seismic hazard level of 2% and 10% probability of exceedance in 50 years respectively as mainshock. Two sets of 30 mainshock-aftershock ground motion are considered for the study. These ground motions were developed using randomized approach. A non-linear time history analysis of regular and irregular building is carried out separately under mainshock and mainshock-aftershock. The effect of building irregularity was studied for single storey modification at bottom storey, mid-storey and top storey with comparison to regular building. The comparison of a regular and irregular building is carried out in terms of maximum roof displacement and interstorey drift ratio. Also, comparison of frames under mainshock and mainshock-aftershock is done.
Introduction
I. INTRODUCTION
As per literature review many researchers has shown interest in the area of study of vertically irregular buildings and their seismic behavior under earthquake ground motion. Despite some anticipated differences due to the different approaches used, all research efforts reached relatively compatible conclusions. Still, in all cases several issues were left open. The past research show that the seismic behavior of vertically irregular buildings can be significantly different in comparison to the regular structure. And also, all studies focused on effect of irregularity under single ground motions rather than series of earthquake. But in earthquake prone region are structure may exposed to series of earthquake. The chapter is divided into two subsections namely mainshock- aftershock and structural irregularity.
II. PROBLEM STATEMENT
Vertical irregularities in steel frame structures, such as changes in column heights or stiffness, can lead to complex seismic responses and potential failure modes.
Mainshock-aftershock sequences, which are common in earthquake-prone regions, can result in additional damage to already weakened structures and increase the risk of collapse.
Despite the importance of understanding the seismic performance of vertical irregular steel frame structures under mainshock-aftershock, there is currently limited research in this area.
There is a need to investigate the behavior and potential failure modes of these structures under mainshock-aftershock, and to evaluate retrofit strategies to improve their seismic performance and resilience.
The outcomes of this research could have significant implications for building codes and standards, as well as for the safety of individuals living and working in these structures in earthquake-prone regions.
III. AIM
The aim of studying the seismic performance of a vertical irregular steel frame structure under mainshock-aftershock is to evaluate the structural behavior and potential damage of the building during a seismic event. The study should aim to:
Investigate the effects of mainshock-aftershock sequences on the performance of the structure, including its response, dynamic characteristics, and stability.
Identify the vulnerability and failure modes of the structure under different levels of seismic activity, including the impact of vertical irregularities.
Propose and evaluate retrofit strategies to enhance the seismic performance of the structure and reduce the risk of damage or collapse.
Develop recommendations for building codes and standards to improve the seismic design of vertical irregular steel frame structures and enhance their resilience to seismic hazards.
Overall, the aim is to contribute to a better understanding of the seismic behavior of vertical irregular steel frame structures under mainshock-aftershock sequences and to provide guidance for improving their seismic performance and resilience.
IV. OBJECTIVES
To evaluate the dynamic response of the vertical irregular steel frame structure under mainshock-aftershock sequences, considering the impact of vertical irregularities on its seismic behavior.
To analyze the structural vulnerability and failure modes of the building under different levels of seismic activity, including the impact of vertical irregularities.
To propose and evaluate retrofit strategies to enhance the seismic performance of the structure and reduce the risk of damage or collapse.
To develop recommendations for building codes and standards to improve the seismic design of vertical irregular steel frame structures and enhance their resilience to seismic hazards, based on the findings of the study.
Conclusion
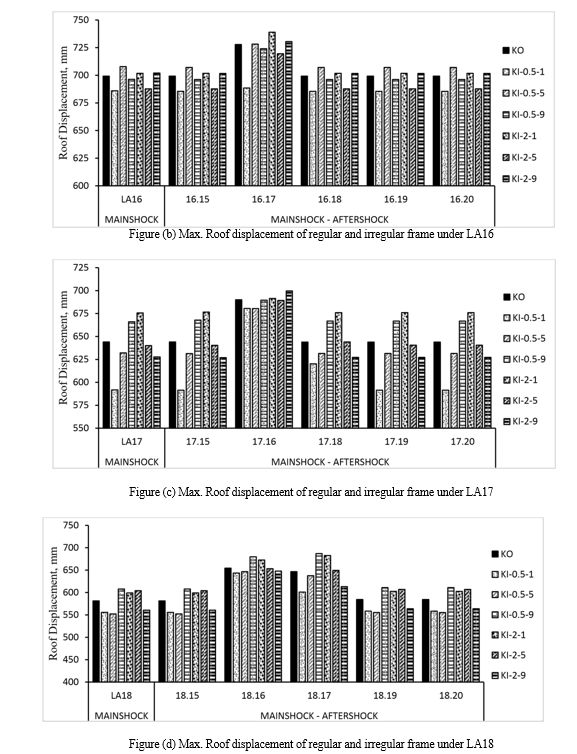
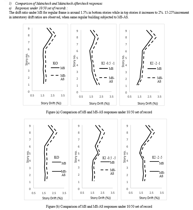
Based on the results from non-linear time history analysis of regular and irregular frame structures under mainshock-aftershock, it is observed the damage from mainshock-aftershock sequences is significantly higher than the damage obtained only from mainshock.
1) Displacement of roof storey goes on decreasing as increasing stiffness in upper stories. Roof displacement is decreased compared to regular building when soft storey irregularity is introduced at bottom storey.
2) Irregularity effect on maximum roof displacement under mainshock-aftershock shown similar responses pattern as shown in mainshock.
3) Stiffness irregularity at bottom storey causes significant effect under both MS and MS-AS.
4) The irregularity at bottom storey shows the maximum inter-storey drift variation when compared to regular frame.
5) The inter-storey drift is more when irregular storey is near base of the building and it is less when irregular storey is near top of the building.
6) Decrease in stiffness of storey causes increase in the inter-storey drift demand in the modified storey and adjacent stories while decreases the inter-storey drift demand in other stories.
7) Increase in stiffness of storey causes decrease in the inter-storey drift demand in the modified storey and adjacent stories while increases the inter-storey drift demand in other stories.
8) Maximum, moderate and minimum variation in inter-storey drift is observed when stiffness irregularity is introduced at bottom storey, mid-storey and top storey respectively.
References
[1] Aki K. (1984). “Asperities, barriers, characteristic earthquakes and strong motion prediction.” Journal of Geophysical Research: Solid Earth, 89(B7), 5867-5872.
[2] Al-Ali, A. K., and Krawinkler, H. (1998). “Effects of vertical irregularities on seismic behavior of building structures.” Report No. 130, John A. Blume Earthquake Engineering Center, Stanford University, Stanford, CA.
[3] Chintanapakdee, C., and Chopra, A. K. (2004). “Seismic response of vertically irregular frames: response history and modal pushover analyses.” Journal of Construction Engineering, 130(8): 1177–1185.
[4] Dey S. (2015). “A Devastating Disaster: A Case Study of Nepal Earthquake and Its Impact on Human Beings.” IOSR Journal Of Humanities And Social Science (IOSR-JHSS), Volume 20, Issue 7, PP 28-34.
[5] Dreger, D. (1997). “The large aftershocks of the Northridge earthquake and relationship to mainshock slip and fault-zone complexity.” Bulletin of the seismological society of America, 87(5), 1259-126.
[6] FEMA. (2000). “SAC Joint Venture. Recommended Seismic Design Criteria for New Steel Moment-Frame Buildings.” FEMA- 350, Washington, DC.
[7] FEMA. (2000). “State of the art report on systems performance of steel moment frames subjected to earthquake ground shaking.” FEMA-355C, Washington, DC.
[8] Fragiadakis, M., Vamvatsikos, D., and Papadrakakis, M. (2006). “Evaluation of the influence of vertical irregularities on the seismic performance of a nine-story steel frame.” Earthquake Engineering & Structural Dynamics, 35(12): 1489–1509.
[9] Karavasilis, T. L., Bazeos, N., and Beskos, D. E. (2008). “Estimation of seismic inelastic deformation demands in plane steel MRF with vertical mass irregularities.” Journal of Structural Engineering, 30, pp. 3265-3275.
[10] Kashkooli, N.A., and Banan, M.R. (2013). “Effect of frame irregularity on accuracy of modal equivalent nonlinear static seismic analysis.” KSCE Journal of Civil Engineering, 17(5), pp.1064- 1072.
[11] Lee K., & Foutch D. A. (2004). “Performance evaluation of damaged steel frame buildings subjected to seismic loads.” Journal of Structural Engineering, 130(4), 588-599.
[12] Le?Trung, K., Lee, K., Lee, J. and Lee, D.H. (2012). “Evaluation of seismic behaviour of steel special moment frame buildings with vertical irregularities.” The Structural Design of Tall and Special Buildings, 21(3), pp.215-232. 60
[13] Li Q., and Ellingwood B. R. (2007). “Performance evaluation and damage assessment of steel frame buildings under mainshock–aftershock earthquake sequences.” Earthquake engineering & structural dynamics, 36(3), 405-427.
[14] Loulelis D., Hatzigeorgiou G. D., and Beskos D. E. (2012). “Moment resisting steel frames under repeated earthquakes.” Earthquake and Structures, 3(3-4), 231-248.
[15] Richter, C. F. (1958). Elementary seismology, W. H. Freeman and Company, San Francisco.
[16] Ruiz-García J. (2012). “Mainshock-aftershock ground motion features and their influence in building\'s seismic response.” Journal of Earthquake Engineering, 16(5), 719-737.
[17] SAP2000. (2012). “Static and dynamic finite element analysis of structures.” Version 14.2.4, Berkeley (CA): Computers and Structures Inc.
[18] Shcherbakov R., Turcotte D. L., and Rundle J. B. (2005). “Aftershock statistics.” Pure and Applied Geophysics, 162(6), 1051- 1076.
[19] Shelke, R., and Ansari, U. S. (2017). “Seismic analysis of vertically irregular RC building frames.” International Journal of Civil Engineering and Technology (IJCIET), 8, pp. 155-169.
[20] Somerville P. G. (1997). “Development of ground motion time histories for phase 2 of the FEMA/SAC steel project.” SAC Joint Venture.
[21] Varadharajan, S., Sehgal, V.K. and Saini, B. (2012). “Review of different structural irregularities in buildings.” Journal of Structural Engineering, 39(5), pp.393-418.
[22] Zhai, C. H., Wen, W. P., Li, S., Chen, Z., Chang, Z. and Xie, L. L. (2014). “The damage investigation of inelastic SDOF structure under the mainshock–aftershock sequence-type ground motions.” Soil Dynamics and Earthquake Engineering, 59, pp.30-41.