The Smart Blind Stick integrates ESP32 microcontroller, two ultrasonic sensors (middle and bottom), and a soil moisture sensor to enhance safety for visually impaired individuals. The middle ultrasonic sensor detects head-level obstacles, triggering a vibration motor for tactile feedback. The bottom ultrasonic sensor identifies potholes and manholes, activating a buzzer for audible alerts. A soil moisture sensor warns of wet surfaces through a speaker with IS 1820 IC, aiding users in avoiding hazards. This compact system enables proactive navigation, empowering users with improved situational awareness and confidence.
Introduction
I. INTRODUCTION
The Smart Blind Stick represents a groundbreaking advancement in assistive technology, designed to address the unique challenges faced by visually impaired individuals in navigating their surroundings safely and independently. Leveraging state-of-the-art components such as the ESP32 microcontroller and an array of sensors, this innovative device offers real-time feedback and proactive assistance to users, enhancing their mobility and confidence in various environments.For individuals with visual impairments, everyday tasks like walking down a street or maneuvering through crowded spaces can present significant challenges and potential hazards. Traditional white canes have long been relied upon as aids for mobility, but they offer limited functionality in detecting obstacles or hazards beyond ground level. Recognizing this limitation, the Smart Blind Stick incorporates advanced sensors and feedback mechanisms to provide comprehensive assistance in detecting obstacles, potholes, manholes, and wet surfaces.
At the core of the Smart Blind Stick is the ESP32 microcontroller, a powerful and versatile component that serves as the brain of the device. This microcontroller facilitates the seamless integration of multiple sensors, allowing for efficient data processing and real-time response to environmental cues. By harnessing the processing capabilities of the ESP32, the Smart Blind Stick can interpret sensor data and trigger appropriate feedback mechanisms to alert users to potential hazards.
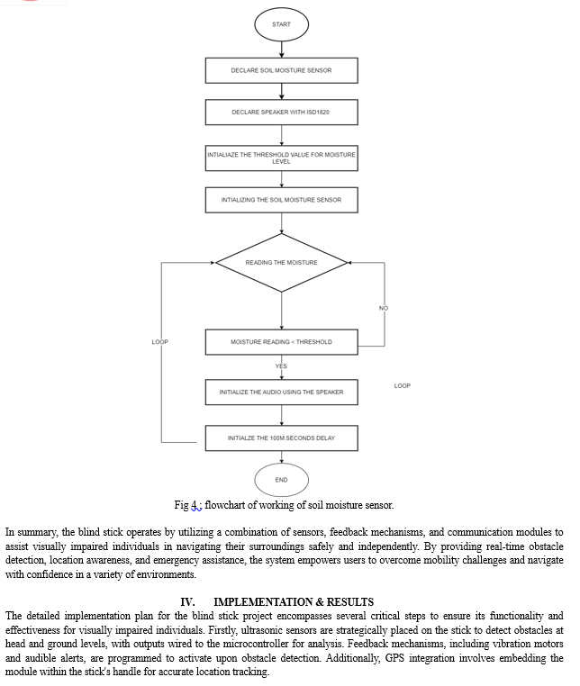
Key features of the Smart Blind Stick include two ultrasonic sensors strategically positioned along the length of the stick: one at the middle and another at the bottom. The middle ultrasonic sensor is tasked with detecting obstacles at head level, such as overhanging branches or signposts, while the bottom sensor identifies ground-level hazards like potholes and manholes. This dual-sensor approach ensures comprehensive coverage and provides users with timely alerts to navigate obstacles safely. In addition to the ultrasonic sensors, the Smart Blind Stick is equipped with a soil moisture sensor, a crucial component for detecting wet surfaces. This sensor plays a vital role in alerting users to potential slip hazards, such as wet pavements or puddles, thereby minimizing the risk of accidents or falls. The integration of a speaker featuring the IS 1820 IC further enhances the device's functionality by providing audible warnings of detected hazards, enhancing users' situational awareness and enabling them to make informed decisions about their path of travel. In summary, the Smart Blind Stick represents a significant step forward in assistive technology for visually impaired individuals, offering a compact yet comprehensive solution to the challenges of navigating urban and outdoor environments. By combining advanced sensors, intelligent data processing, and intuitive feedback mechanisms, this innovative device empowers users with improved situational awareness and confidence, ultimately enhancing their quality of life and independence.
II. RELATED WORKS
IoT means connecting, transferring data of devices via the Internet. By using IoT we control appliance anytime, anywhere and the cloud which provides storage and computing resources to implement a web application as described in [1] Blessy Mathew, Namrata Sharon and Danita are the authors of this paper. This paper introduces an IoT solution for greenhouse management, addressing manual monitoring challenges. Utilizing YL69 and DHT11 sensors with Raspberry PI3, the system autonomously controls moisture, temperature, and humidity. Data is stored in Thing Speak, accessible via a webpage, showcasing a seamless integration of IoT for efficient and automated greenhouse operations.
This approach proves instrumental in enhancing plant growth and optimizing crop yield. [2] Hugo Sampaio and Shusaburo Motoyama are the authors of this paper. The paper explores Wireless Sensor Networks (WSN) for agriculture, highlighting a gap in research concerning large-scale greenhouses. It introduces a hierarchical tree-type structure, diverging from cluster-based systems, to enhance scalability and efficiency. Emphasizing sensor node, router, and coordinator groupings, the proposed model demonstrates promise in lab experiments. The system aims to address challenges in scaling WSNs for greenhouses, offering potential advantages. Future plans include real greenhouse field experiments to validate the proposed hierarchical approach. In [3] Sheetal Vatari, Aarti Bakshi, Tanvi Thakur are the authors of this paper. This paper advocates for precision agriculture using a Greenhouse, IoT, and cloud computing. By integrating sensor networks, it ensures optimal environmental conditions for diverse crops. The system enables remote control through IoT and relays data to users via the cloud.[4] This paper proposes an IoT-driven Hydroponics system, utilizing UBIDOTS cloud for a closed-loop setup. Using sensors and actuators, it optimizes photosynthesis with artificial luminance, while monitoring and adjusting greenhouse conditions. The project, fully automated through the ESP32 microcontroller and Wi-Fi connectivity, offers real-time data access on the UBIDOTS cloud platform, providing users with visual insights. [5] Ravi Kishore Kodali, Vishal Jain and Sumit Karagwal This study presents a smart greenhouse model using modern tech for enhanced agriculture. It integrates automatic irrigation, fertigation, and climate control, providing insecticide-free crops and extra income. Suitable for individual use, it promotes organic farming, reduces water usage, and establishes direct farmer-consumer connections through IoT. [6] Ahmad F Subahi, Kheir Eddine Bouazza are the authors of an intelligent IOT-Based system design for controlling and monitoring Greenhouse temperature.
This paper introduces a scalable IoT-based system for smart greenhouse farming in Saudi Arabia, using Petri Nets for efficient temperature control. The innovation includes a controlled awning for sun ray mitigation, and captured data are structured in a dynamic Neo4j graph-based database for scalable information management.
III. PROPOSED METHODOLOGY
The blind stick operates by leveraging a combination of sensors, actuators, and communication modules to assist visually impaired individuals in navigating their surroundings safely. The system is embedded within a lightweight and portable stick, making it easy for users to carry and utilize in various environments.
The blind stick incorporates ultrasonic sensors positioned strategically along its length. These sensors emit high-frequency sound waves and measure the time it takes for the waves to bounce back after hitting obstacles. Based on this data, the system can accurately detect obstacles in the user's path, including walls, vehicles, or pedestrians. Upon detecting an obstacle, the system provides immediate feedback to the user through vibration and auditory cues. A vibration motor integrated into the handle of the stick vibrates to alert the user of nearby obstacles. Simultaneously, a buzzer emits audible alerts, enhancing the user's situational awareness and prompting them to take evasive action if necessary. In addition to obstacle detection, the blind stick utilizes GPS technology to provide users with accurate location information. By accessing signals from satellites, the system determines the user's current position and relays this information audibly to the user upon request. This feature enables users to navigate unfamiliar areas confidently and reach their desired destinations with ease.
Communication between the GPS module and microcontroller enables the conversion of GPS coordinates into readable location information for the user. The stick's user interface includes buttons or switches for requesting location updates and activating emergency alerts. Power optimization and integration of communication modules such as GSM or Bluetooth ensure reliable operation and emergency communication capabilities. Thorough testing and calibration verify the accuracy and reliability of the system in various real-world scenarios, with adjustments made to optimize performance. Final assembly involves securely attaching all components and providing user instructions before deployment to visually impaired individuals, offering support as needed during the adaptation period. Through meticulous implementation of these steps, the blind stick project aims to provide a dependable mobility aid, empowering visually impaired individuals with enhanced navigation and communication functionalities.
Conclusion
In conclusion, the implementation plan outlined for the blind stick project demonstrates a comprehensive approach to developing a reliable and effective mobility aid for visually impaired individuals. By strategically placing ultrasonic sensors, integrating GPS technology, and incorporating feedback mechanisms, the blind stick provides users with real-time obstacle detection and location tracking capabilities. The inclusion of vibration motors and audible alerts enhances user awareness and safety, while communication modules enable emergency assistance when needed. Through thorough testing, calibration, and user feedback, the system\'s performance and usability are continuously refined. In deploying the blind stick to visually impaired individuals, it is essential to provide comprehensive user instructions and support during the adaptation period. Overall, the blind stick project aims to empower visually impaired individuals with increased independence and confidence in navigating their surroundings, ultimately improving their quality of life.
References
[1] D.Sathya, S. Nithyaroopa, P.Betty, Namrata Sharon, G.Santhoshini 2018. Smart Walking Stick for Blind Person . IJPAM Volume 118 No.20 2018, 4531-4536; ISSN:1314-3395
[2] PratikNK, Poornesh V ,Shashikant, Shreedar Kudva, Saritha A N. SMART BLIND STIC,IJLTET,e-ISSN: 2278-621X
[3] Yashvi Khera, Pawan Whig. IoT Based Novel Smart Blind Guidance System,e-ISSN 2721-0251;2021 JCSE
[4] T.Tirupal, B.Venkata Murali, M.Sandeep, K.Sunil Kumar.Smart Bind Stick using Ultrasonic sensor 2021, JRSGIST.
[5] Amit Kumar Thakur, Rajesh Singh and Anita Gehlot. Smart Blind Stick for obstacle Detection and Navigation System,JETIR 2018, e-ISSN: 2349-5162
[6] Premaranjan Akhil, Ramdas Akshara, Raju Athira , Padmanaban Kamalesh Kumar.Smart Blind Walking Stick with Integrated Sensor. MDPI, 2022.