Lead iron neobatePb(Fe0.5Nb0.5)O3 ceramics were prepared by using B-site precursor method. The formation of perovskite phase and microstructure are reported. The formation of B-site precursor and perovskite formation mechanism were studied by using X-ray diffraction and thermal analysis.
Introduction
I. INTRODUCTION
The ferromagnetic ceramics are smart materials which shows two or more types of physical states (i.e, a ferromagnetic, ferroelectric, ferroelastic, ferrotoroid state) [1-4]. PFN is one of the material belonging to this group. The PFN ceramic has perovskite structure with general formula A(B1-xBx)O3 where Pb2+ in A-site, Fe3+ and Nb5+ in B-site.
Lead iron neobate (PFN) have been synthesized by many techniques and methods e.g, wet chemical processing routes such as sol-gel, semi wet hydroxide route and coprecipetation, molten salt synthesis, high energy ball milling e.t.c, [5-8]. In the present paper the B-site precursor method was used to synthesize PFN ceramics and the formation of perovskite phase were presented.
II. EXPERIMENTAL SETUP
A. Sample Preparation
The B-site precusor method is employed for the preparation of the ceramic Lead Iron Niobate (PFN). The starting materials used in this method are PbO, Nb2O5 and Fe2O3. B-site precusor method is a two- step calcination method. In this method the B-site oxides Fe2O3 and Nb2O5 were mixed stoichiometrically in ethanol medium by ball milling for 1hr. The slurry was dried and calcined at 1000ºC for 4 hr. After calcination the molten mass was slowly cooled to R.T and the cooled solid FeNbO4 was crushed to fine powder by using Pestle and Mortor. The stoichiometric amount of PbO and precursor FeNbO4 was mixed in ethanol medium by ball milling for 2 hr and was dried. The second stage of calcination was carried out at 750ºC for 2 hr. The calcined powder was crushed and ground finely. 2 gm of PbO excess was added to the calcined powder to compensate for the PbO loss and ball milled for 1hr. The powder was pressed in to pellet of 10-12 mm diameter and 1-2 mm thickness by applying pressure of 70 M Pa.The pellets were sintered at 1000?ºC for 2 hr in a closed alumina crucible. The sintered pellets were checked by X-ray diffraction for the formation of perovskite phase.
B. X-ray Diffraction (XRD)
The X-ray diffraction technique was employed for determining the phase purity and lattice parameter calculation.
X-ray characterization
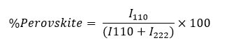
Following calcination as well as sintering, the formation of the various phases was checked by their X-ray diffraction patterns. The X-ray patterns were recorded on a computerized Phillips (1070 model) diffractometer with a scanning speed of 1?/min using CuKα radiation. The percentage of perovskite phase was calculated using the following equation [2].
where I110 and I222 are the areas under the major peaks (110) and (222) of perovskite and pyrochlore phases respectively.
C. Thermogravimetry and Differential Thermal Analysis (TG and DTA)
The TG/DTA curves were acquired from an automated simultaneous thermal analysis (Polymer Laboratories, STA/1500). About 20mg of sample was taken and heated at a rate of 5ºC /minute up to about 1000ºC.
D. Scanning Electron Microscopy (SEM)
The powder morphology of a heat-treated and the fractured surface of a sintered pellet (to measure the grain size) were investigated using Leica Cambridge Stereoscan S-360 scanning electron microscope (SEM). Conducting gold was sputtered on the sample to avoid charging at the sample surfaces. They were examined under SEM and selected areas were photographed. The grain size was calculated using linear intercept technique and the average grain size was calculated by the following equation [9],
Grain size= 1.56 C / [M N]
Where, C is the length of the test line, N is the number of intercepts and M is the magnification calculated from the reference scale printed on the micrograph.
III. RESULTS AND DISCUSSION
A. XRD Studies
The XRD studies were carried out for calcined PFN. Fig 3.1 (a) shows the XRD pattern for PFN calcined at 750°C for 2 hr. Fig 3.1(b) shows JCPDS pattern for PFN. From fig 3.1(a) and 3.1(b) it is clear that there are additional peaks in the experimental XRD pattern for PFN, and these peaks are due to pyrochlore phase. Percentage of individual phase was calculated, by comparing 100% peak intensities of the perovskite peak and pyrochlore peak. The % of perovskite formed in the calcined powder was found to be 73%. Therefore, the remaining 27% corresponds to pyrochlore phase. Fig 3.1(c) shows the XRD pattern for PFN sintered at 1000°C for 2 hr. From JCPDS pattern for PFN fig 3.1(b) and experimental XRD pattern for sintered PFN, it is clear that additional peaks present before sintering are removed and this confirms the formation of single phase perovskite PFN.
C. TG/DTA Studies
TG/DTA studies were done during heating and cooling of the sample to examine the weight changes and the phase stability of the powders (PbO, Nb2O5,Fe2O3, FeNbO4+PbO and PFN after calcination). These results are shown in figures 3.2(a) to 3.2(e).Fig 3.2(a) shows the TG/DTA curve for PbO. DTA curve shows two endotherms. The endotherm at ~300°C is due to the loss of CO2 and the endotherm at ~500°C is due to the formation of Pb3O4. In fig 3.2(a) DTA curveshows three phases and two exotherms. The three phases are PbO, Pb3O4 and PbO. The exotherm at ~300°C corresponds to the phase transition from PbO to Pb3O4. The exotherm at ~550°C corresponds to the phase transition from Pb3O4 to PbO. Above 550°C this Pb3O4 transforms in to PbO.The TG curve in fig 3.2(a) shows the weight loss corresponding to the endotherm at ~300°C due to loss of CO2. And the weight gain corresponding to the endotherm at ~500°C is due to the formation of Pb3O4 from PbO.Fig 3.2(b) shows TG/DTA curves for Nb2O5. From DTA curve we can infer that there is no change in phase for Nb2O5. Also from TG curve we can infer that there is no change in weight forNb2O5.Fig 3.2(c) shows TG/DTA curve for Fe2O3. From TG and DTA curves we can infer that there is no change respectively, in weight and phase for Fe2O3. Fig 3.2(d) shows TG/DTA curves for the mixture FeNbO4+PbO. DTA curve shows three phases, two endotherms and two exotherms. The three different phases are FeNbO4+PbO, pyrochlore and perovskite phase. The endotherm at 300°C is due to loss of CO2 and the endotherm at 500°C is due to the formation of pyrochlore. The exotherm at 300°C corresponds to the phase transition from FeNbO4+PbO to pyrochlore phase. The exotherm at ~550°C corresponds to the phase formation from pyrochlore to perovskite phase and at 750°C the phase transition completes relating to the formation of perovskite phase which agrees with a previous report [10].The TG curve in fig 3.2(d) shows weight loss corresponding to the endotherm at ~300°C due to loss of CO2 and the weight gain corresponding to the endotherm at ~500°C due to the formation of pyrochlore is not much as seen in fig 3.2(a).Fig 3.2(e) shows TG/DTA curves for PFN after calcination.
C. Scanning Electron Microscopy (SEM)
Fig 3.3(a) shows SEM for PFN sintered at 1000°C. Average grain size was found to be ~1.05mm. This value is in good agreement with the previous report [10].
Conclusion
Lead Iron Niobium Oxide PFN ceramic has been prepared by B-site precursor method. The weight changes during heating and cooling of the sample and the phase stability of the starting materials was examined. The formation of single phase perovskite was confirmed from XRD pattern. A well-established PFN phase of ? 1.05?m in particle size was obtained which was confirmed from SEM.
References
[1] D. Bochenek and P, Niemiec, Dielectric Properties of the PFN ceramics obtained different chemical-wet technology and sintering by hot pressing method, MATEC Web of Conferences, 242, 2018.
[2] D, Khomskii, Physics, 2, 2009
[3] H. Sehmid, J. Phys. Condens. Matter, 20, 2008
[4] M.H. Lente, J.D.S. Guerra, G.K.S. de Souza, B.M. Fraygola, C.F.V. Raigoza, D. Gareia, J.A. Eiras, Phys. Rev. B, 78, 2008
[5] Y. Ch. Liou, Ch-Yu Shih, Ch-H. Yu, Jpn. J. Appl. Phys, 99, 1999
[6] S. Ananta, N,W. Thomas, J. Eur. Ceram. Soc, 19, 1999
[7] S.B. Majumder, S. Bhattacharyya, R.S Katiyar, A. Manivannan, P. Dutta, M.S. Seehra, J. Appl. Phys, 99, 2006.
[8] X. Gao, J. Xue, J. Wang, T. Yu, Z.X. Shen, J. Am. Ceram. Soc, 85, 2002.
[9] M.V.Radhikarao, Thesis, MRC, IISC, Bangalore, 1998.
[10] XingsenGaoJunminXue, and John Wang, J.Am.Ceram.Soc.85 565-72 (2002).