Neutron scattering is the scattering of free neutrons by matter. This process is used for the investigation of materials. Neutron scattering is an experimental technique which is applied in various areas of physics, physical chemistry, biophysics, crystallography and materials research. Neutron diffraction (elastic scattering) is used for determination of structures of materials. In this paper we attempted to study thermal neutron scattering in randomly un-aligned multi walled carbon nanotubes making use of an anisotropic dynamical model. This model includes the presence of both the surface modes and intertube coupling. Comparison of scattering cross section of un-aligned multiwalled carbon nanotubes has been done with fullerene and graphite. It was concluded that there is a significant difference between the values of scattering cross section for randomly un-aligned multiwalled carbon nanotubes and fullerene at higher values of energy.
Introduction
I. INTRODUCTION
The phonon frequency distribution function describes the experimentally measured temperature variation of specific heat in the temperature range 1-200K [1].Fast neutrons have a kinetic energy above 1 MeV. Their scattering by condensed substance can be compared to anelastic collision with a particle at rest. At each collision the fast neutron transfers a major portion of its kinetic energy to the scattering nucleus. In this way the neutron is slowed down until it reaches the stage of thermal equilibrium since neutrons are electrically neutral, they go through the sample moredeeper as compared to the electrically charged particles having comparable kinetic energy. They serve as rightprobes of bulk properties.
The kinetic energy of the free neutrons emitted by atomic nuclei in nuclear reactions is of the order of .Because of emitted major amount of energy, these neutrons cannot be used to study the dynamics of the crystals. They are passed through a moderator having large neutron scattering cross-section and small neutron absorption cross-section so that their energy gets minimised.
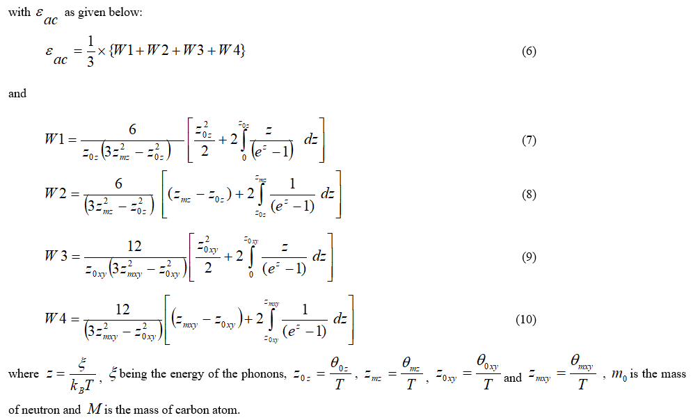
II. MATHEMATICAL FORMALISM
The expression of double differential scattering cross-section [2,3] of thermal neutrons, for a solid, in the present case randomly un-aligned multi walled carbon nanotubes, using the Fermi pseudo neutron-nuclear interaction potential, is expressed as follows:
References
[1] A. Mizel, L. X. Benedict, M.L. Cohen, S. G. Louie, A. Zettl, N.K. Budraa W. P. Beyermann, Phys. Rev. B 60, 3264 (1999).
[2] S.P. Tewari, P. Silotia, K. Bera and A. Saxena, Proceedings of SPIE, Nanotubes and Nanowires5219, 117 (2003).
[3] S.P. Tewari, J. Sood, P. Tondon and P. Silotia, Journal of Neutron Research 8, 293 (2001).
[4] S.P. Tewari, P. Silotia and K. Bera, Mod. Phys.Lett. B11, 1031 (1997).
[5] S.P. Tewari, P. Silotia, S. Dabas and A. Saxena,Journal of Nanophotonics2,023503 (2008).