Ijraset Journal For Research in Applied Science and Engineering Technology
Authors: Prateek Sejwal, Sachin Maheshwari
DOI Link: https://doi.org/10.22214/ijraset.2022.42953
Certificate: View Certificate
Friction Stir Welding (FSW) is a solid-state welding method which was developed by The Welding Institute and patented in 1999. The process is solid state and relies on local forging of weld region to perform weld. New welding schedules are being continuously developed for materials that are traditionally difficult to join by fusion welding methods (e.g., TIG/MIG). These experiments are performed to find out the best possible parameters to smoothly weld the aluminium 7075 alloys. By using Taguchi robust design of experiment, we selected 3 parameters namely rotation speed and transverse speed and tool shoulder diameter against the optimization function of ultimate tensile strength. The tilt angle and the plunge depth are kept constant. The variation of tensile strength is mainly due to the change in tool shoulder diameter then with welding speed and then with rotation speed. The heat generated is modelled on ANSYS software by inserting the rotation speed, coefficient of friction , material properties , radius of pin etc. The model is validated by conducting the experiment through thermocouples. The model predicted a temperature of about 410 degrees Celsius and the experimental value is 380 degrees Celsius, showing that the welding temperature is about 80% of heat generation. The Taguchi experiment consist of 4 experiments with a range of rotation speeds of 900 and 1120 respectively and a welding speed of 64mm/min and 100 mm/min respectively. The tool shoulder diameter is kept 14mm and 17mm. the welds are cut in transverse direction in order to obtain the UTS test coupon. The best possible combination is found using Taguchi Analysis. This thesis is a collection of data and response variables that correctly informs at what conditions we should weld 7075 alloy. Appropriate SN ratio is calculated and high is the best is considered as our objective function is tensile strength. Some additional tests are also performed namely hardness and microstructure and heat generation in order to identify the behaviors of aluminium alloy. Hardness and heat generated are dependent on the tool shoulder diameter then on the welding speed. This conclusion is derived from Taguchi analysis. This study is useful for the selection of parameters for the further welding operations. However, a change in plunge depth can also be taken into consideration for future scope. As tunneling defect was observed in some runs thus plunge depth has to be varied. Also, the number of experiments can be increased in order to get more refined parameters. Also, the making of base material can also be taken into consideration because of the zinc precipitate distribution. Casted AA7075 has different properties, rolled AA 7075 can have different.
I. INTRODUCTION
Nowadays, FSW has many applications that include in aerospace, marines, railways and automotive. In this process a rotating tool is pressed against the surface of two abutting or overlapping plates which causes local forging. The side of the weld for which the rotating tool moves in the same direction as the traversing direction, is commonly known as the 'advancing side'; the other side, where tool rotation is in opposite direction of the traversing direction, is known as the 'retreating side’.
A sound weld that is a void free weld with constant and enhanced mechanical properties is crucial for industrial applications and require post weld treatment. The weld design, material thickness, tool geometry , tool material strongly affect the heat generated and the backing plate also plays an important role in this. Minimum temperature is required for weld, this means that the weld temperature should lie in some certain limits. By controlling the welding parameters, we can control the heat generation and thus controlling the precipitation.

The usual pressure and shearing action of the shoulder cause frictional heat to be created. Friction stir welding can be conceived of as a tool-assisted technique of limited extrusion. A softened zone of material forms around the probe due to frictional heating. Because the softened material is restricted by the tool shoulder, it cannot escape. Material is swept around the tool probe as it moves down the joint line, between the retreating side of the tool (where local rotation resists forward motion) and the surrounding unreformed material. The extruded material is deposited behind the tool to form a solid phase junction.

B. Pin tools, Process Parameters and Essential Variables
Standardized efforts are required to address the pin tool designs, process parameters and variables. Pin tool materials are many which are currently used, and it depends on the material to be joined. Three types of pins are currently used as shown in (Fig.3) within each category there are pin to shoulder diameter, thread pitch and many.
Here fixed pin is used because the material thickness is uniform.
Process parameters are taken to be rotational speed and welding speed. These two are the main parameters which affects the behavior of the weld. High welding speed results in less mixing and low strength and high rotation speed also results in low strength.

C. Application
Friction stir welding is a wide applicant process that has good hold in many industries like aerospace, marines, and heavy automobiles. Because of less material wastage expensive materials can be easily weld. FSW has a good outcome of microstructure that impose good strength and hardness. The main area of application is aluminium and magnesium alloys because they are highly prone to oxidation. The Hubei-class missile boat is the great example of the application of FSW. HMNZS rotoiti in New Zealand has its panel FSW weld. United launch alliance use the process of FSW in Delta II, Delta IV, and Atlas V expendable launch vehicles. Falcon 1 and Falcon 9 also add a feather to the cap. Cargo barrier beams of Boeing 747 are also welded by FSW. Airbus A400M, A380 and many more are now produced by FSW.
In automobile Audi R8 Volvo V90,V70, Mazda RX-8 got their parts by friction Stir welding.
II. SCOPE AND OBJECTIVES
The primary objective of this experiment is to show the appropriate parameter selection for adequate welding of aluminium 7075 alloy. The tool material evaluated is H13 Tool steel with tapered pin and shoulder diameters of 14mm and 17mm. The properties are static tested.
The objectives are listed below:
III. LITERATURE REVIEW
A. Elangovan K., Balasubramanian V., (2008) AA2219 aluminium alloy
Regardless of welding speeds, the square pin profile created a defect-free FSP zone. Regardless of tool pin profiles, connections formed at a welding speed of 0.76mm/s had higher tensile characteristics. In the FSP region, the joint created with a square pin profiled tool and a welding speed of 0.76mm/s produces maximum tensile strength, high hardness, and fine grains.
B. Patil H. S., Soman S. N., (2010) AA6082-O aluminium
This paper presents the effect of tool pin profile and welding speed on weld appearance, and a defect free weld is presented.
It is discovered that the joint fabricated using a taper screw thread pin has superior tensile properties when compared to a tri-flute pin profile, regardless of welding speed.
C. Kulekci Mustafa Kemal & ?ik Aydin & Kaluç Erdinç, (2008) AA 5754 aluminium alloy plates
Joint fatigue strength is reduced by increasing tool rotation for a fixed tool pin diameter. The fatigue strength of joints is reduced when tool pin diameter is increased for a fixed tool rotation. To improve the fatigue strength of FSW lap joints, an optimization of tool pin diameter, tool rotation, and tool traverse speed is required.
D. Flow, process forces and strains during Friction Stir Welding: A comprehensive First principal approach Dhruv Bajaj, Arshad Noor Siddiquee , Noor Zaman Khan
The first principal approach is used to analyze material flow, process forces, and strains in this study. In terms of material qualities and process parameters, the results were given as exact mathematical formulas. It was shown that the material undergoes direct and shear strains during stirring, both when moving from the advancing to the retreating side in front of the tool and after rotation deposits behind the tool. It was also proved that the strain decreased dramatically from the advancing to the retreating side; in a typical situation, the shear strain on the advancing side is greater than 10,000 percent, while the maximum shear strain on the retreating side is on the order of 6000 percent.
E. Temperature validation for friction stir welding (FSW) of dissimilar aluminum alloys Abdul Arif M.E.D, MNNIT, Allahabad.
Friction stir welding is the most recent and promising of all the welding technologies in the field of metal joining. FSW technology creates stronger and more durable welds than other procedures, and it can be done faster, saving money.
The goal of this study is to construct an improved finite element model (FEM) and validate it by comparing simulation results to experimental data on different aluminium alloys AA6061 to AA5086. For simulation of friction stir welding employing a moving coordinate system approach, the finite element program ANSYS is used. Temperature profiles are produced for two scenarios: the first is when AA6061 is on the advancing side, and the second is when AA6061 is on the retreating side. The simulation outcomes are satisfactory.
F. Classification and identification of surface defects in friction stir welding: An image processing approach Ravi Ranjana, Aqib Reza Khan, Chirag Parikh, Rahul Jain d, Raju Prasad Mahtod
Friction stir welding (FSW) is a relatively recent welding process with the goal of producing a defect-free weld. However, different flaws arise for diverse reasons and must be investigated in order to be eliminated.
The goal of this study is to use digital image processing techniques to identify and classify various types of surface flaws that are commonly found during the FSW process.
Image pyramid and image reconstruction methods are used to identify faults on the weld's surface. Furthermore, using these algorithms, defects can be classified into voids, grooves, cracks, keyholes, and flash based on their distinct characteristics. The fault blobs' vertical intensity plot and area plot are shown for correct localization.
G Density functional Theory Nathan Argaman Institute for Theoretical Physics, University of California, Santa Barbara, California 93106, and Physics Department, NRCN, P.O. Box 9001, Beer Sheva 84190, Israel
One of the most extensively used approaches for computations of the structure of atoms, molecules, crystals, surfaces, and their interactions is density functional theory (DFT). Unfortunately, the traditional DFT introduction is frequently deemed too lengthy to be incorporated in various courses. Here is an alternative introduction to DFT that draws on principles from thermodynamics, particularly the idea of switching between multiple independent variables. The concept of DFT is presented as a simple generalized technique of the well-known Legendre transform from the chemical potential mu to the number of particles N. This strategy is effective.
H. Effect of Plunge Depth on Friction Stir Welding of Al 6063 C. Devanathan1, A.Suresh Babu2, 1Research Scholar, 2Department of Manufacturing Engineering Anna University, Chennai. 600 025
Friction stir welding is presented as an unusual form of welding that employs a non-consumable spinning tool that was originally designed to weld aluminium alloys.
This welding process has recently been investigated for use in welding all types of hard materials like as steel, titanium, MMC, and other materials that are difficult to weld by fusion welding.
The influence of plunge depth on the mechanical properties of 6063 Al alloy sheets of 6mm thickness was examined in this study by utilizing friction stir welding (FSW) with high carbon high chromium steel (HCHCr) and keeping the spindle and welding speeds constant.
I. Tensile and hardness tests were used to determine the mechanical characteristics. The findings suggest that increasing plunge depth reduces mechanical prosperities and leads to failure.
Recent Research progress in friction stir welding of aluminium and magnesium alloy. Virendra Pratap Singh, Surendra Kumar Patel, https://doi.org/10.1016/j.jmrt.2020.01.008.
Due to their light weight and exceptional characteristics, aluminium-magnesium alloys are now widely used in a variety of engineering applications. Because rigid tolerances are necessary throughout distinct product assembly, joining is considered one of the most complicated phenomena in many precision sectors such as aerospace, railway, automobile, and marine structures. FSW of aluminum-magnesium alloys of various grades has sparked significant scientific and industrial interest because of its ability to transform a product into a high-quality joint. Due to many metallurgical problems, fabricating such alloys with traditional fusion welding is a difficult operation. As a result, the goal of this paper is to highlight recent advances in FSW of aluminum-magnesium alloys. Microstructural evolution, phase change, recrystallization mechanism, and material flow have all received special study.
J. Microstructure of stir zone in dissimilar friction stir welds of AA6061-T6 and AZ31 alloy sheets. Lee, K.-J., Kwon, E.-Convergence Components and Agricultural Machinery Application Centre, Korea Institute of Industrial Technology, Jeon Ju, South Korea
The purpose of this study was to look into the microstructure of dissimilar friction stir welds made from AA6061-T6 and AZ31 alloy sheets. The 'off-set' condition in which the tool plunge position was changed toward AZ31 from the interface between AA6061-T6 and AZ31 was used to produce dissimilar butt joints. Through a series of preliminary experiments and hypothesis testing, the optimal tool rotation speed and travelling speed were determined. The texture in the stir zone was measured using the electron backscatter diffraction (EBSD) technique (SZ). The distribution of grain size and misorientation angle was also determined. In the SZ, a remarkable fine-grained microstructure was discovered. The SZ of AA6061-T6 created randomized or weaker plane orientations, whereas the SZ of AZ31 focused rotating basal plane orientations. Recrystallized grain size on average
K. Optimization of process parameters for friction stir welding of joining AA6061 and AA6062 alloys by Taguchi method, Noida institute of technology, Sanjay Kumar, Ajay Kumar, Sudhir Kumar
This research will use the Taguchi method to determine the best process parameters for the best tensile strength and hardness of the weld. The analysis of variance is used to explore the significance of parameters on response using an orthogonal array of L9. Experiments were carried out based on a combination of rotational speed, tool tilt angle, and tool pin profile. The results revealed that the rotating speed is the most essential component and has the greatest impact on the weld's mechanical qualities.
L. Prediction of grain size and tensile strength of friction stir welded joints of AA7075 – T6 aluminium alloy, Annamalai University, S Rajkumar, V. Balasubramanian.
This paper presents an empirical relationship for predicting the grain size and tensile strength of the alloy in question. The conditions are optimized using a six-factor, five-level central composite rotable design matrix. Response surface approach, which incorporates tool and process factors, is used to build empirical connections. A linear regression relationship is also discovered between weld nugget grain size and joint tensile strength.
M. Influence of Process Temperature on Hardness of Friction Stir Welded High Strength Aluminum Alloys for Aerospace Applications Suengera*, Michael Kreissleb, Markus Kahnertc, Michael F. Zaeha *Institute for Machine Tools and Industrial Management, Technische Universitaet Muenchen, Boltzmannstr. 15, 85747 Garching
This research examines the integration of FSW into a novel manufacturing method for lightweight fuel tank dome structures. To make a bigger blank, two AA 2219 plates are bonded using FSW technology at temper condition O. After that, spin forming technology is used to shape the blanks. To achieve a final tank-dome in temper condition T8, the production process is followed by various steps of heat treatment. The research described in this study aims to establish a link between process parameters and welding seam qualities.
N. Experimental Study on AA7075 Its Effect of Rotational Speed and Tool Pin Profile on Friction Stir Welding Process L. Srinivas Naik, Dr. B. Hadya & Dr. Kolli Murahari Mechanical Engineering Department, Anurag Group of Institutions, Telangana, India
Welding parameters such as welding speed, rotation speed, plunge depth, shoulder diameter, and others have a synergistic effect on weld zone characteristics, friction stir weld microstructure, and welded sheet formation behavior. The primary goals of this study are to investigate the effects of welding speed, rotation speed, plunge depth, pin profile, and shoulder diameter on the formation of internal defects during friction stir welding (FSW), and to optimize the welding parameters for producing internal defect-free welds. The basic material for FSW in this project is Al 7075 T6, which has a thickness of 5 mm.
O. Effect of rotational speeds on microstructure and mechanical properties of friction stir-welded 7075-T6 aluminium alloy Article in ARCHIVE Proceedings of the Institution of Mechanical Engineers Part C Journal of Mechanical Engineering Science 1989-1996 (vols 203-210) · August 2011
The impact of rotational speed on the microstructure and mechanical properties of friction stir-welded 7075-T6 Al alloys was examined in this paper. There was a strong link between rotating speeds and weld characteristics. Higher pick temperatures and a broader thickness of the heat-affected zone were attained with increased rotating speed, followed by grain coarsening, dissolution, and accumulation of hardening precipitates in grain boundaries.
The average nugget grain size rose from 6.8 to 8.9 mm as the rotating speed increased from 600 to 1550 r/min. Furthermore, the best mechanical properties were obtained at a modest rotational speed of 825 r/min, with ultimate tensile strength and elongation of 405 MPa and 6.1%, respectively.
P. Effect of High Rotational-Speed Friction-Stir Welding on Microstructure and Properties of Welded Joints of 6061-T6 Al Alloy Ultrathin Plate Hao Zhang, Shujin Chen , Yuye Zhang, Xinyi Chen, Zhipeng Li and Zhidong Yang School of Materials Science and Engineering, Jiangsu University of Science and Technology, Zhenjiang 212003, China
With a grain size of roughly 4.9 m, the nugget zone (NZ) is a recovery recrystallization structure dominated by large-angle grain boundaries. The texture is dispersed randomly and consistently during grain formation, and the strength is balanced. The microhardness of the NZ grows dramatically as rotational speed increases, and the hardness value fluctuation range is limited. The NZ –Mg2Si is finer and lighter than the base metal (BM). Because the thin plate's heat dissipates quickly, a Cu plate is utilized as the backing plate to moderate the abrupt temperature decrease in the weld area. The amount of brittle phase Al–Cu–Mg–Cr and Al–Fe–Si–Mn precipitation is greatly reduced when compared to a low rotational speed, which is beneficial to enhancing corrosion resistance.
Q. Article on the Friction Stir Welding of Al 7075 Thin Sheets Andreas Dimopoulos, Achilles Vairis , Nectarios Vidakis and Markos Petousis Mechanical Engineering Department, Hellenic Mediterranean University, 71410 Heraklion Crete, Greece
The goal of this study was to use friction stir welding to weld thin sheets (2 mm) of Al 7075 in a butt joint arrangement and to determine the best tool shape and process parameters. Heat treatable low alloy steel WNr 1.6582/DIN 34CrNiMo6 was used to make two tools. with a varied diameter of pin (3 mm and 4 mm). Welding was done at various rotating speeds. 1000–2500 rpm and 80–800 mm/min welding rates.
Tensile strength was determined to be determine the mechanical properties Despite the limitations of friction stir welding, the results indicated that Sound joints can be generated on thin plates in a consistent manner without obvious welding wear tool. The welds' mechanical strength had decreased by 33.75 percent since the last test.
R. Temperature Distribution During Friction Stir Welding of AA2014 Aluminium Alloy Bhavesh Chaudhary, Vivek Patel, P. L. Ramkumar Jay Vora, Experimental and statistical Analysis, transactions of the Indian institute of metals.
K-type thermocouples were inserted into pre-drilled AA2014 alloy at eight distinct points to record temperatures under various process conditions.
Tool rotation (N), welding speed (v), and tilt are all characteristics to consider angle. Two thermocouples were used to record these temperatures. "Equal distance and length" was the first layout. The advancing side (AS) has the same depth as the second configuration.
On retreating, there was "identical distance and variable depth." facet (RS). The findings of the experiments revealed that increasing. The peak temperature increased as the N/v ratio grew, whereas the by lowering the N/v ratio, the peak temperature was reduced. On effect of tool tilt angle on peak temperature, on the other hand was also proven to be significant and experimentally confirmed in addition to statistical analysis.
S. Application of grey analysis of relation and Taguchi method for parametric optimization of friction stir welding, UGAGI Taguchijeve, VERTLINO-TORNIUM PROCESOM FSW
This paper presents the analysis of responses and then optimizing them to find the optimized parameters. The goal is to get best tensile strength and elongation. The methos used is Taguchi based grey relational analysis. The experiment is conducted using Taguchi L8 orthogonal array. The responses are analyses by grey relational analysis and process is evaluated by quantitively method of ANOVA.
T. A comparison of different finite element methods in thermal analysis of FSW Bahman Meyghani, Mokhtar B Awang, Seyed Sattar Metals (7), 450,2017
This paper presents the comparison between the different numerical approaches for thermal analysis of FSW. Lagrangian and Eulerian approaches are considered to be the 2 string approaches in thermal modelling. A combination of these two is also presented that is ALE ( Arbitrary Lagrangian – Eulerian Approach). The study shows that Lagrangian approach is usually preferred for thermal analysis of whole structure while the eulerian approach is for material flow.
U. Microstructure evolution during FSW/FSP of high strength aluminium alloys Jian-Qing Su, Tracy W Nelson , Colin J sterling Materials Science and engineering A 405 (1-2), 277-286,2005
Here microstructure of different phases of friction Stir Processes 7075 Al were investigated. Mechanisms including dDRX, grain Growth, dislocation introduction, dynamic recovery and cDRX. Different regions have different grains and different densities of dislocations and exhibit various degrees of recovery.
V. Comparison between fsw and TIG welding techniques: modification of microstructures and pitting corrosion resistance in AA 2024-T3 butt joints: journal of materials processing technology 152, 97-105, 2004
This paper presents the corrosion resistance and microstructure of Weld joints of AA2024 T 3. here 2 different welding processes have been considered conventional tungsten inert gas process and some innovative solid state welding process. By the help of micro hardness measurements, we can find out the general decay of mechanical properties of TIG joints. this is caused due to high temperature experienced. But in fsw process there is a low heat generation and due to this here is light recovery and alterations in the tensile test properties.
W. Microstructure and XRD analysis of fsw joins for copper T 2 / aluminium 5806 dissimilar materials. Peng Liu, qingyu shi, wei wang, material letters 62, 4106- 4108, 2008.
In this process copper tea 2 and aluminium alloy 5A 06 were welded by friction stir welding process. The tests conducted work the microstructure analysis and mechanical properties and the constituents of phase these all tests were conducted by the help of tensile testing machines and Xray diffraction. the best results are obtained at an rpm of 950 and at a travel speed of 150 mm per minute however there is a mixed structure characteristics of copper and aluminium that exist at the nugget zone. There are no intermetallic compounds anywhere.
X. Flow visualization and simulation in fsw. Anthony pee Reynolds. Scripta materialia 58 (5), 338 342, 2008
This paper presents the work of material flow around the welding tool during the friction steel welding and this process is closely linked to many key issues which are related to the process. Understanding of the flow is critical because it helps us to determine the accurate Thermomechanical processing conditions. also the cyclic variation in the process response is and the resulting microstructure should also be incorporated in the study.
Y. Selection of fsw tool pin profile shoulder diameter and material for joining AZ31B magnesium alloy. G Padmanabhan, we Balasubramanian. materials and design 30, 2647 2656, 2009
In this investigation the researchers attempted to make a proper selection of tool pin profile tool shoulder diameter and the tool materials for friction stud welding of magnesium alloys. They selected 5 tool pin profiles and the joints were fabricated after that tensile test was conducted to determine which tool profile gives the best tensile properties. the tool is made from high carbon steel which has 18 mm shoulder diameter, and it is produced metallurgically and mechanically defect free the result of this study gives very fine grains and higher hardness in the Weld region and because of this the tensile strength is at higher end.
Z. Characterization of the influences of fsw tool geometry on welding forces and weld tensile strength using an instrumented tool. DG hattinh, C blingnaut, TI Van Niekerk, MN James. journal of materials processing technology 203 46-57,2008
This paper presents the effect of tool parameters on the forces during the welding and on the tool torque and the tool temperatures. Important parameters considered to design, tool pin diameter with paper and the pitch of any thread. During the experiment the forces are measured in the welding of six mm thick 5083 21 aluminium alloy. The force footprint that is the relative angle of orientation of the peak resultant force is also described. This provides a very important visual information between the interaction of tool profile anti plastic zone.
IV. MATERIAL AND EQUIPMENTS
A. Friction Welding Tool
Friction welding tools are the most important element in FSW process. The heat generation and base material mixing is solely dependent on tool material and tool geometry. Different tool materials and geometries are widely used in the experiment.
Tool steels are generally preferred for low melting point alloys like aluminium alloys and magnesium alloys for up to 700 degree of melting point. Various tool steels materials like H13, HCHCr, SKD61, HSS etc. are successfully used for welding of similar and dissimilar alloys. Various tool materials are presented in the table below
Table 2. Characteristics of FSW Tool Materials
|
Tool Material |
Advantages |
Disadvantages |
|
H13 |
Easy machinability, good hot hardness |
Severe tool wear for high strength material |
|
SKD61 |
Good thermal fatigue resistance |
Tool Wear for complex pin profile |
|
HCHCr |
High hot hardness compared to tool steel |
Difficult to machine in hardened conditions |
|
Tungsten |
High hot hardness and strength. Suitable for high strength material |
Poor machinability, expensive, low coefficient of friction with aluminium |
The tool selected for this experiment is H13 tool steel with shank diameter 20.1mm and shoulder diameter 14mm.The pin profile is tapered with maximum diameter 5mm and minimum diameter 3.5mm Pin length is 4.8mm.
The coefficient of friction for this particular alloy is about 0.44 which helps in heat generation on friction. The tool (Fig. 5) is turned on a CNC lathe machine to correct the circularity and the centerless grinded to maintain the axis correction. After the grinding operation the shank diameter is exactly to 20.1 mm that holds good inside the 20mm collet. The tool is finally given shape inside a CNC vertical milling machine with a carbide end mill of 10mm diameter and 4 flute.(Fig. 7)




B. Base Material
7075 aluminium alloy (AA7075) is an aluminium alloy with zinc as the primary alloying element. It has excellent mechanical properties and exhibits good ductility, high strength, toughness, and good resistance to fatigue. It is more susceptible to embrittlement than many other aluminium alloys because of segregation but has significantly better corrosion resistance than the alloys from the 2000 series. It is one of the most used aluminium alloys for highly stressed structural applications and has been extensively used in aircraft structural parts.
|
Density |
2.81 g/cc |
|
Youngs modulus |
71.7 GPa |
|
Tensile Strength |
570 MPa |
|
Poisons ratio |
0.33 |
|
Rockwell Hardness |
87 HRD |
|
Melting Temperature |
490 degrees Celsius |
Table 3. Composition of AA7075
|
Element |
Si |
Cu |
Mg |
Fe |
Mn |
Cr |
Zn |
Ti |
Al |
|
Percentage |
0.4 |
2 |
2.9 |
0.5 |
0.3 |
0.28 |
6.1 |
0.2 |
Remainder |
The plate dimensions are 5mm x 95mm x 50mm. for Taguchi L-4 experiment we used about 16 plates for trails and actual experiments. These plates are cutted by band saw and machined by CNC vertical milling machining center with an end mill of tungsten carbide 4 flute and 10mm diameter.(Fig. 9)
Another tool is also prepared in order to check the dependency of the weld strength. The shoulder diameter is kept 17mm with same pin dimensions.(Fig. 8)

C. Machines Used
Various machines are used to prepare weld specimen/ test coupons for testing the quality of weld joints. To perform FSW and testing of similar aluminium 7075 alloy, following machines are used in present work.

V. METHODOLOGY
A. Experimental Setup
Appropriate approach is necessary to conduct the experiment and to reach the research conclusions. Number of factors ( Process parameters) and their levels decide the selection of specific experiment plan. The experiment plan shows the number of experiments and the order in which experiments is required to be conducted. Three process parameters are selected in present research work along with two level and 4 experiments are conducted as per Taguchi L-4 experiment orthogonal array.
Table 4. FSW Process Parameters and their Levels
|
Parameter |
Level 1 |
Level 2 |
|
Rotation Speed |
900 rpm |
1120 rpm |
|
Transverse Speed |
60 mm/min |
100 mm/min |
|
Shoulder diameter |
14mm |
17mm |
B. Design of Experiment
Design of experiment is defined as a branch of applied statistics that mainly deals with planning, conducting, interpolating the controlled tests to evaluate the factors that controls the value of a parameter or a set of parameters.
We can define different levels of input parameters which can govern the output results. This process can identify important interactions that might have been missed. We can investigate all possible interactions or a portion of possible interactions.
Table 5. L4 array
|
Run number |
Factor 1 |
Factor 2 |
Factor 3 |
|
1 |
1 |
1 |
1 |
|
2 |
1 |
2 |
2 |
|
3 |
2 |
1 |
2 |
|
4 |
2 |
2 |
1 |
Here each run is a unique prototype or arrangement of factor levels. The array provides the recipe to create four welds for the experiment.
Table 6. L4 array with factors
|
Experiment |
RPM |
Welding speed |
Shoulder diameter |
|
1 |
900 |
64 |
14 |
|
2 |
900 |
100 |
17 |
|
3 |
1120 |
64 |
17 |
|
4 |
1120 |
100 |
14 |

C. Measurement of Responses
The objective function of above experiment is to obtain best tensile strength.
The weld pieces are subjected to tensile test in order to obtain the strength. The idea was to include TMAZ,HAZ and Bm but the test coupon breaks. Thus, a sub-scale sample is taken with only TMAZ and SZ. The tensile strength of sample (Fig. 15) was recorded on a computer controlled tensiometer at a cross head speed of 2mm/min. the tensile strength of joint is measured and compared with base material.



D. Measurement of Micro Hardness.
The Hardness of weld is measured by a Vickers hardness testing machine. The area subjected to hardness test is the weld zone. The total thickness of weld zone is approximately 14mm and 17mm respectively. A series of about 36 points horizontally and about 17 points vertically were taken to measure the hardness.

VI. RESULTS AND DISCUSIONS
A. Software Results
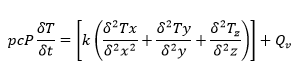
The simulation of Friction Stir Welding was conducted on ANSYS software with a moving heat source. The heat generated is mainly dependent on the radius of pin, tool rotation speed and friction of coefficient. The main governing differential equation is taken from Fourier law.

Where ki are the coefficient of thermal conductivity; cp is the specific heat capacity; ρ is the material density; Qv is the inner heat generation rate per unit volume; T is the temperature.
The boundary condition applied are:
It was difficult to model the moving heat source, so a moving coordinate system is accommodated with transverse Heat source. The heat flux generated is applied to the lower end of the tool and heat generated is described by given equation.

The geometry of the problem is modelled. The butt weld of similar Aluminium 7075 alloy of volume 105x150x5mm were taken. To maintain the accuracy between the model and specific part; a domain of workpiece is taken with diameter 80mm. the tool has a tapered pin with diameter 3.5mm and 5mm. the shoulder diameter is 14mm and rotation speed of 1000 rpm and welding speed of 82 mm/min. 3D 8node tetrahedral thermal solid is used as an element type. It has steady state and transient thermal analysis.


The tensile tests were conducted on all 4 coupons. The adequate tensile strength is observed at 900 rpm and 64mm/min of welding speed with 14mm of shoulder diameter and a slight decrease is observed at high rpm of 1120 and high welding speed of 100mm/min. This is because of the zinc precipitate distribution and some voids which were observed in micro hardness test. The main thing to be noticed is that at 900 rpm and 100 mm/min speed there is a drastic change in tensile strength due to inappropriate mixing and fusion of interface thus strength is less. The UTS of base metal is 500MPa and the best strength achieved is 302 MPA which is 60% joint efficiency. The plunge depth is kept 4.9mm and its kept constant. The variation can also be included inside the analysis.





D. Microscopic Visualization of Welds
According to the above results, best tensile strength sample is observed under the microscope after performing all the necessary operations. The etchant used is the combination of different chemicals. The solution contain 95ml of water added to 1.5ml of nitric acid with 0.5ml of hydrochloric acid and 1ml of hydrofluoric acid

E. Micro Hardness Test
The Vickers hardness number of aluminium 7075 is 170. The Vickers hardness test or micro hardness test is conducted on weld zone to inspect whether weld hardness is near the base material hardness. The welded zone is well grinded with help of abrasives with grit size 180, 00, 450, 600 ,800 and finally 1000. The prepared sample is loaded inside the Vickers harness testing machine and test is conducted along the longitudinal axis and lateral axis namely horizontal and vertical respectively. The maximum hardness recorded is 149.6 HV that is 88% of base material hardness. These satisfactory results are obtained.



F. Taguchi Analysis
The results obtained were feed into the Minitab software and Taguchi analysis is conducted. The results showed that the most important parameter in friction stir welding of aluminium 7075 is shoulder diameter. According to the expression of heat generation too the most important parameter is shoulder diameter. As the difference between shoulder diameter and pin diameter is large, the heat generation will be less. But the deciding parameter is not limited to shoulder diameter, the game changer is the welding speed and it’s not included inside the expression of heat generation. Thus, we can’t relate the heat generation completely on rotation speed.
The responses were signal to noise ratio and means and the deciding parameter is larger is better. The best combination according to the analysis is 1120 rpm and welding speed of 64mm/min and shoulder diameter of 14mm. The plunge depth is again kept constant that is 4.9mm. the combination is not present inside the experiment; thus we have to conduct the confirmatory test.


G. Confirmatory test of the Optimized Parameters
The results of Taguchi analysis were confirmed by conducting the confirmatory experiment. The rpm is kept at 1120, the welding speed is kept at 64mm/min and the tool shoulder diameter is kept at 14mm.

The UTS test coupon is again cutted with wire EDM considering same dimensions as other samples. The same is loaded inside the computerized tensiometer and strength is determined.

The UTS test results showed that the engineering strength is 310MPa which is about 10MPA more than the first experiment. Thus, we can say that the optimized parameters obtained by Taguchi analysis is helpful. (Fig. 42)
The gauge length is 16mm, the width of sample is 5.68mm and thickness is 2.923mm.

VII. SCOPE OF FUTURE WORK
This study is useful for the selection of parameters for the further welding operations. However, a change in plunge depth can also be taken into consideration for future scope. As tunneling defect was observed in some runs thus plunge depth has to be varied. Also, the number of experiments can be increased in order to get more refined parameters. Also, the making of base material can also be taken into consideration because of the zinc precipitate distribution. Casted AA7075 has different properties, rolled AA 7075 can have different. Also, by the help of SEM microscopy a thermal model can be generated which relates the zinc precipitate distribution with the temperature.
This research introduces the Friction stir welding of Aluminium 7075 alloy. For identifying the parameters Taguchi L4 orthogonal array was applied. The conclusion is as follows: 1) The most important parameter in Friction Stir welding is Tool Shoulder Diameter. 2) An efficient Taguchi Based Analysis is presented. The results showed the best parameters for welding is 1120 RPM, 64mm/min of welding speed and 14mm shoulder diameter pin. The tensile strength is 310 MPa which is 54.38% of base material strength. 3) The second important parameter is the welding speed which is not considered in many thermal models. 4) The plunge depth also plays a crucial role in mixing of metal and joint strength.
[1] Melendez M, Tang W, Schmidt C, et al. Tool forces developed during friction stir welding. NASA Technical Reports Server (NTRS), San Francisco, CA, 2003. [2] Al-Mousawi M, Smith AJ, Young A, et al. Modelling of friction stir welding of DH36 steel. Int J Adv Manu Technol 2017; 92(1–4): 341–360. [3] Siddiquee AN, Khan NZ and Khan ZA. Universal friction stir welding/processing work fixture. Indian patent application no. 201611017741A, India, 2016. [4] Siddiquee AN, Khan NZ and Khan ZA. Universal friction stir welding/processing tool adopter. Indian patent application no. 201911002618A, India, 2019. [5] Nandan R, Roy GG and Debroy T. Numerical simulation of three-dimensional heat transfer and plastic flow during friction stir welding. Metal Matter A 2006; 37(4): 1247–1259. [6] Schmidt HNB, Dickerson TL and Chattel JH. Material flow in butt friction stir welds in AA2024-T3. Acta Mater 2006; 54(4): 1199–1209. [7] Gerlach A, Su P, Yamamoto M, et al. Effect of welding parameters on the strain rate and microstructure of friction stir spot welded 2024 aluminum alloy. J Mater Sci 2007; 42: 5589–5601. [8] Buchibabu V, Reddy GM and De A. Probing torque, traverse force and tool durability in friction stir welding of aluminum alloys. J Mater Process Technol 2017; 241: 86–92 [9] Al-Mousawi M, Smith AJ, Young A, et al. Modelling of friction stir welding of DH36 steel. Int J Adv Manuf Technol 2017; 92(1–4): 341–360. [10] Song M and Kovacevic R. Thermal modeling of friction stir welding in a moving coordinate system and its validation. Int J Mach Tool Manuf 2003; 43(6): 605–615. [11] Athar far H, Lin D and Kovacevic R. Numerical and experimental investigations on the loads carried by the tool during friction stir welding. J Mater Eng. Perform 2009; 18(4): 339–350. [12] Jain R, Pal SK and Singh SB. Investigation on effect of pin shapes on temperature, material flow and forces during friction stir welding: a simulation study. Proc IMechE, Part B: J Engineering Manufacture 2019; 233(9): 1980–1992. [13] Melendez M, Tang W, Schmidt C, et al. Tool forces developed during friction stir welding. NASA Technical Reports Server (NTRS), San Francisco, CA, 2003. [14] Quintana KJ and Silveira JL. Mechanistic models for the forces in FSW of aluminum alloy 5052-H34. Int J Adv Manuf Technol 2018; 96(9–12): 3993–4008. [15] Franke D, Rudra Raju S, Zinn M, et al. Understanding process force transients with application towards defect detection during friction stir welding of aluminum alloys. J Manuf Process 2020; 54: 251–261. [16] Bevilacqua M, Ciara pica FE, Forceless A, et al. Comparison among the environmental impact of solid state and fusion welding processes in joining an aluminium alloy. Proc IMechE, Part B: J Engineering Manufacture 2020; 234(1–2): 140–156. [17] Jamal J, Darras B and Kishawy H. A study on sustainability assessment of welding processes. Proc IMechE, Part B: J Engineering Manufacture 2020; 234(3): 501–512 [18] Gerlach A, Su P, Yamamoto M, et al. Effect of welding parameters on the strain rate and microstructure of friction stir spot welded 2024 aluminum alloy. J Mater Sci 2007; 42: 5589–5601. [19] Masaki K, Sato YS, Maeda M, et al. Experimental simulation of recrystallized microstructure in friction stir welded Al alloy using a plane-strain compression test. Scripta Mater 2008; 58(5): 355–360 [20] McQueen H and Jonas J. Plastic deformation of materials. New York: Academic Press, 1975, p.393. [21] Meyers MA and Chawla KK. Mechanical behavior of materials. 2nd ed. Cambridge: Cambridge University Press, 2009, pp.176–177. [22] Kuibyshev R, Kazakulov I, Gromov D, et al. Super plasticity in a 2219 aluminum alloy. Scripta Mater 2001; 44(10): 2411–2417. [23] Nikulin I, Kaibyshev R, Sakai T, et al. Super plasticity in an 7475 aluminum alloy subjected to equal channel angular extrusion. Mater Sci Forum 2004; 447: 453–458. [24] Su H and Wu C. Determination of the traverse force in friction stir welding with different tool pin profiles. Sci Technol Weld Joining 2018; 24: 209–217. [25] Su H, Wu CS, Bachmann M, et al. Numerical modeling for the effect of pin profiles on thermal and material flow characteristics in friction stir welding. Mater Des 2015; 77: 114–125. [26] Pasha Zadeh H, Masumi A and Teimournezhad J. Amstudy on material flow pattern in friction stir welding using finite element method. Proc IMechE, Part B: J, Engineering Manufacture 2013; 227(10): 1453–1466. [27] Seidel TU and Reynolds AP. Visualization of the material flow in AA2195 friction-stir welds using a marker insert technique. Metal Mater Trans A 2001; 32(11): 2879– 2884. [28] Long T, Tang W and Reynolds AP. Process response parameter relationships in aluminium alloy friction stir welds. Sci Technol Weld Joining 2007; 12(4): 311–317. [29] Schmidt HNB, Dickerson TL and Hattel JH. Material flow in butt friction stir welds in AA2024-T3. Acta Mater 2006; 54(4): 1199–1209. [30] Guerra M, Schmidt C, McClure J, et al. Flow patterns during friction stir welding. Mater Charact 2002; 49(2): 95–101. [31] Nandan R, Roy GG and Debroy T. Numerical simulation of three-dimensional heat transfer and plastic flow during friction stir welding. Metal Mater Trans A 2006; 37(4): 1247–1259. [32] Schmidt H, Hattel J and Wert J. An analytical model for the heat generation in friction stir welding. Modell Simul Mater Sci Eng. 2003; 12(1): 143. [33] Nadia A. Theory of flow and fracture of solids, vol. 1. 2nd ed. New York: McGraw Hill, 1950, p.315. [34] Siddiquee AN, Khan NZ and Khan ZA. Universal friction stir welding/processing work fixture. Indian patent application no. 201611017741A, India, 2016. [35] Siddiquee AN, Khan NZ and Khan ZA. Universal friction stir welding/processing tool adopter. Indian patent application no. 201911002618A, India, 2019. [36] ASM Handbook, vol. 2. Columbus, OH: ASM International, 1990, pp.102–103. [37] Chang CI, Lee CJ and Huang JC. Relationship between grain size and Zener–Holloman parameter during friction stir processing in AZ31 Mg alloys. Scripta Mater 2004; 51(6): 509–514. [38] Frigaard Ø, Grong Ø and Middling OT. A process model for friction stir welding of age hardening aluminum alloys. Metal Mater Trans A 2001; 32: 1189–1200. [39] Zhang, D.; Wang, X.; Pan, Y.; Hou, S.; Zhang, J.; Zhuang, L.; Zhou, L. Friction stir welding of novel T-phase strengthened Zn-modified Al–Mg alloy. J. Mater. Sci. 2021, 56, 5283–5295. [40] Li, M.; Zhang, C.;Wang, D.; Zhou, L.;Wellman, D.; Tian, Y. Friction Stir Spotwelding of Aluminum and Copper: A Review. Materials 2020, 13, 156. [41] Li, B.; Wang, X.M.; Chen, H. Influence of heat treatment on the strength and fracture toughness of 7N01 aluminum alloy. J. Alloy.Compd. 2016, 678, 160–166. [42] Oliveira, A.F.; De Barros, M.C.; Cardoso, K.R.; Travessa, D.N. The Effect of RRA on the Strength and SCC Resistance on AA7050 and AA7150 Aluminium Alloys. Mater. Sci. Eng. A 2004, 379, 321–326. [43] Zhang, C.;Wang, X.M.; Chen, H. Stress corrosion cracking of cabinet of 7003 aluminum alloy. J. Mater. Eng. 2015, 43, 105–112. [44] Wang, X.M.; Liao, X.Y.; Ma, C.P. Effects of chemical composition on the corrosion behavior of A7N01S-T5 Al alloys. Int. J. Mod. Phys. B 2015, 29, 27–36. [45] ASM Handbook. Properties and Selection: Nonferrous Alloys and Special-Purpose Materials, 10th ed.; ASM International: Metals Park, OH, USA, 1990; Volume 2. [46] Campbell, F.C. Manufacturing Technology for Aerospace Structural Materials; Elsevier: Amsterdam, The Netherlands, 2006. [47] Burek, R.; Wydrzy´ nski, D.; Kubit, A.; Login, W. The influence of the shoulder depth on the properties of the thin sheet joint made by FSW technology. Aircr. Eng. Aerosp. Technol. 2020. [48] Mehri, A.; Abdollah-Zadeh, A.; Habibi, N.; Hajian, M.; Wang, J.T. The Effects of Rotational Speed on Microstructure and Mechanical Properties of Friction Stir-Welded 7075-T6 Thin Sheet. J. Mater. Eng. Perform. 2020, 29, 2316–2323.
Copyright © 2022 Prateek Sejwal, Sachin Maheshwari. This is an open access article distributed under the Creative Commons Attribution License, which permits unrestricted use, distribution, and reproduction in any medium, provided the original work is properly cited.
Paper Id : IJRASET42953
Publish Date : 2022-05-19
ISSN : 2321-9653
Publisher Name : IJRASET
DOI Link : Click Here
Submit Paper Online
