Molodtsov’s soft set theory is a newly emerging mathematical tool to handle uncertainty. Babitha and John defined another important soft set, as hesitant fuzzy soft sets. This paper gives a methodology to solve the multi-criteria decision making problems using similarity measures on Hesitant fuzzy soft sets. A decision making problem was solved with the help of similarity measure on hesitant fuzzy soft set.
Introduction
I. INTRODUCTION
In the real world, there are many complicated problems are arises in many fields, like economics, engineering, environment, social science, management science and etc... There are various types of uncertainties involved in these problems. The classical methods are having their own limitations. To overcome these limitations hesitant fuzzy soft set was introduced.
Molodtsov [2] firstly proposed a new mathematical tool named soft set theory to deal with uncertainty and imprecision. This theory has been demonstrated to be a useful tool in many applications such as decision making, measurement theory, and game theory. Maji et al. [3,4] firstly presented the concept of fuzzy soft set in decision making problems.
The hesitant fuzzy set, as one of the extension of Zadeh’s[12] fuzzy set, allows the membership degree that an element to a set presented by several possible values, and it can express the hesitant information more comprehensively than other extensions of fuzzy set. In 2009, Torra and Narukawa [6] introduced the concept of hesitant fuzzy set. In 2011, Xu and Xia [8, 9] defined the concept of hesitant fuzzy element, which can be considered as the basic unit of a hesitant fuzzy set, and is a simple and effective tool used to express the decision maker’s hesitant preferences in the process of decision-making. Babitha and John [1] defined another important soft set as hesitant fuzzy soft sets. They introduced basic operations such as intersection, union, compliment, and De Morgan’s law was proved. In 2014, Wang, Li, and Chen [6] applied hesitant fuzzy soft sets in multi criteria decision-making problems.
This paper gives a methodology to solve the multi-criteria decision making problem using similarity measures. In section 2, some basic definitions are given. In section 3, operations on hesitant fuzzy soft sets are discussed. In section 4, similarity measure for hesitant fuzzy soft set was introduced. In section 5, a decision making problem was solved with the help of similarity measure on hesitant fuzzy soft set.
Conclusion
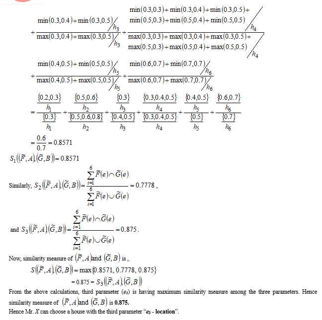
In this paper, a methodology was introduced to solve the multi-criteria decision making problems using similarity measures on hesitant fuzzy soft sets. Basic definitions and operations of hesitant fuzzy soft sets are discussed. Finally a decision making problem was solved and a decision was made with the help of similarity measure of hesitant fuzzy soft set.
References
[1] Dr.V.Anusuya and B.Nisha, Type-2 Fuzzy Soft Sets and Decision Making, Aryabhatta Journal of Mathematics and Informatics, Vol.09, Issue-01, January-June 2017, (13-19), 0975-7319 (P), 2394-9304 (O).
[2] Dr.V.Anusuya and B.Nisha,Type-2 Fuzzy Soft Sets on Fuzzy Decision Making Problems, International Journal of Fuzzy Mathematics Archieve, Vol- 13, N0.1, August 2017, (9-13), 2340-3242 (P), 2320-3250(O).
[3] Dr.V.Anusuya and B.Nisha,Decision Making on Trapezoidal Type-2 Fuzzy Soft Set, International Journal of Pure and Applied Mathematics, Vol 118, No 6, Special Issue, 2018, (175-183), 1311-8080 (P), 1314-3395 (O).
[4] Dr.V.Anusuya and B.Nisha,Type-2 Fuzzy Soft Set with Distance Measure, International Journal of Mathematics Trends and Technology, Vol. 54, No. 2 ,February 2018, (186-192), 2231-5373.
[5] Dr.V.Anusuya and B.Nisha, Decision Making on Triangular Type-2 Fuzzy Soft Set, International Journal of Mathematics and Its Applications, Vol 6, Issue 1-C, January 2018, (543-548), 2347-1557.
[6] K.V.Babitha and S.J.John, Hesitant Fuzzy Soft Sets, Journal of New Results in Science, 2(3) (2013) 98-107.
[7] D. Molodtsov, Soft set theory-first results, Computers & Mathematics with Applications, 37(4-5), (1999) 19–31.
[8] P. K. Maji, R. Biswas, and A. R. Roy, Fuzzy soft sets, Journal of Fuzzy Mathematics, 9(3) (2001) 589–602.
[9] A. R. Roy and P. K. Maji, A fuzzy soft set theoretic approach to decision making problems, Journal of Computational and Applied Mathematics, 203(2) (2007) 412–418.
[10] Z. Kong, L. Gao, and L. Wang, Comment on “A fuzzy soft set theoretic approach to decision making problems, Journal of Computational and Applied Mathematics, 223(2) (2009) 540–542.
[11] V. Torra and Y. Narukawa, On hesitant fuzzy sets and decision making, In Proceedings of the IEEE International Conference on Fuzzy Systems, Journal of Applied Mathematics 10 (2009) 1378–1382.
[12] V. Torra, Hesitant fuzzy sets, International Journal of Intelligent Systems, 25(6) (2010) 529–539.
[13] M. Xia and Z. Xu, Hesitant fuzzy information aggregation in decision making, International Journal of Approximate Reasoning, 52(3) (2011) 395–407.
[14] Z. S. Xu and M. Xia, Distance and similarity measures for hesitant fuzzy sets, Information Sciences, 181(11) (2011) 2128–2138.
[15] F. Wang, X. Li, X. Chen, Hesitant Fuzzy Soft Set and its Application in Multicriteria Decision Making, Journal of Applied Mathematics, 2014 (2014) 1-10.
[16] L.A.Zadeh, “Fuzzy Sets”, Information and Control, 8 (1965) 338-353.