In this paper, we implement the Finite Difference Method to approximate the homogeneous form of the Poisson equation. The Poisson equation is discretized using the central difference approximation of the second derivative and the grid function is determined by the five point method approximates the exact solution of the Poisson equation. The finite difference approximation is consistent and convergent. The method of solving the numerical approximation of Poisson equation is implemented using Python Programming.
Introduction
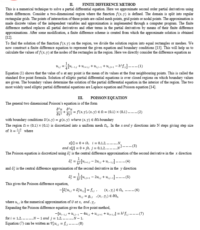
I. INTRODUCTION
Partial Differential Equations arise in the study of many branches of Applied Mathematics, for instance, in the field of fluid dynamics, heat transfer, boundary layer flow, elasticity, quantum mechanics and electromagnetic theory. The analytical method of these equations is a rather involved process and requires applications of advanced mathematical methods. In most of the cases, it is easier to develop approximate solutions by numerical methods. Several numerical methods have been proposed for the solution of partial differential equations, the method of finite difference is most commonly used. In this method, the derivatives appearing in the equation and the boundary conditions are replaced by their finite difference approximations.
H.Bennour and M.S.Said have investigated the solution of Poisson equation in n-dimensional domain with Dirichlet boundary conditions to establish the existence, uniqueness and regularity of the solution [1]. Mohammad Mehdi Mazarei and Azim Aminataei have introduced a new way for numerical solution of Poisson’s partial differential equation by a special combination between logarithmic and multi-quadric radial basis function [2]. Peng Guo studied the two-dimensional Poisson equation with Dirichlet boundary conditions. Five point difference method and Chebyshev spectral method is used to solve the corresponding two-dimensional Poisson equation [3]. James R. Nagel has proposed the practical application of multiple dielectrics, conductive materials and magnetostatics using the finite difference method from Poisson equation [4]. Iman Shojaei et al., have developed the solution of a governing equation on an arbitrary domain is sought through a geometrical transformation from the rectangular domain into the original domain using conformal mapping. They have proved that conformal mapping preserves the Laplace and Poisson equation which are used in engineering problem [5]. Mohammad Mehdi Mazarei and Azim Aminataei have proposed that the transformation of Poisson’s equation into the polar coordinate can achieve a better accuracy than the direct radial basis function network method and the indirect radial basis function network method on the Cartesian coordinates [6].
Benyam Mebrate and Purnachandra Rao Koya have introduced Microsoft Office Excel worksheet implementations of numerical methods for solving Poisson’s equation in two dimensions with Dirichlet’s boundary conditions. They have used finite difference method and finite element method and the numerical solutions obtained by these two methods are also compared with each other graphically in two and three dimensions [7]. Mohammad Asif Zaman has presented a comprehensive discussion on how to build a finite difference matrix solver that can solve the Poisson equation for arbitrary geometry and boundary conditions [8]. D.J. Evans has introduced a rhombic region to solve the Poisson equation using skew rectangular coordinates by the successive block over-relaxation method [9]. Genet Mekonnen Assefa and Lemi Guta have showed that finite difference method for two-dimensional Poisson equation with non-uniform mesh is not sufficiently accurate than finite difference method for two-dimensional Poisson equation with uniform mesh size [10]. Mohammad Aslefallah and David Rostamy have presented a numerical scheme for solving fractional Poisson equation. The method is used to find the numerical solutions of these equations based on the Grunwald estimates for Riemann-Liouville fractional derivative [11]. This paper proposes the numerical approximation of the Poisson equation using finite difference method. The paper is organized as follows: Section II presents the Finite Difference Method, Section III discusses the Poisson Equation, Section IV focuses on Implementation and Results, Section V analyses on Consistency and Convergence of the Poisson equation and finally the Conclusion is presented in Section VI.
Conclusion
We have implemented a finite difference method to approximate numerically to the second order homogeneous Poisson equation. The Poisson equation is discretized using finite difference method. By expanding the Poisson difference equation, we obtain the five point method equation. This equation is represented in matrix form to find the numerical solution of Poisson equation. Python programming is implemented to obtain the numerical solution of the Poisson equation with boundary conditions. Figure 1 shows the discrete grid points for N=10 of the Poisson equation, Figure 2 shows the boundary values of the Poisson problem, Figure 3 shows the matrix form and its inverse matrix form and Figure 4 gives the numerical approximation of the Poisson equation. The grid function determined by the five point method approximates the exact solution of Poisson equation ensures the consistency and convergence of the solution.
References
[1] H. Bennour and M.S.Said, “Numerical Solution of Poisson Equation with Dirichlet Boundary Conditions”, International Journal of Open problems Compt. Math., Volume 5, No. 4, December 2012, pp. 171 – 195.
[2] M.M.Mazarei and A.Aminataei, “Numerical Solution of Poisson Equation using a Combination of Logarithmic and Multiquadric Radial Basis Function”, Hindawi Publishing Corporation, Journal of Applied Mathematics, Volume 2012, December 2011, pp. 01 – 13.
[3] Peng Guo, “The Numerical Solution of Poisson Equation with Dirichlet Boundary Conditions”,Journal Applied mathematics and Physics, Vol. 9, No. 12, December 2021, pp. 3007 – 3018.
[4] James R. Nagel, “Numerical Solution of Poisson Equation using Finite Difference Method”, IEEE Antennas and Propagation Magazine, Vol. 56, No. 4, August 2014, pp. 209 – 224.
[5] Iman Shojaei et al., “ A Numerical Solution for Laplace and Poisson Equations using Geometrical Transformations and graph Products”, Applied Mathematical Modeling, Volume 40, Issues 17-18, September 2016, pp. 7768 – 7783.
[6] A. Aminataei and M.M.Mazarei, “Numerical Solution of Poisson Equation Using Radial Basis Function Networks on the Polar Coordinates”, Computers and Mathematics with Applications, Vol. 56, Issue 11, December 2008, pp. 2887 – 2895.
[7] Benyam Mebrate and Purnachandra Rao Koya, “Numerical Solution of a Two Dimensional Poisson Equation with Dirichlet Boundary Conditions”, American Journal of Applied Mathematics, Volume 3, Issue 6, December 2015, pp. 297 – 304.
[8] Mohammad Asif Zaman, “Numerical Solution of Poisson Equation Using Finite Difference Matrix Operators”, Electronics, 11, 2365, July 2022, pp. 01 – 20.
[9] D.J.Evans, “The Numerical Solution of Poisson Equation in a Rhombus”,International Journal of Computer Mathematics, Vol. 42, Issue 3-4, March 2007, pp. 193 – 211.
[10] Genet Mekonnen Assefa and Lemi Guta, “Solution of Two Dimensional Poisson Equation Using Finite Difference Methods with Uniform and Non-Uniform Mesh Size”, Advances in Physics Theories and Applications, Vol. 79, 2019, pp. 01 – 10.
[11] Mohammad Aslefallah and David Rostamy, “Numerical Solution for Poisson Fractional Equation via Finite Differences Theta Method”, Journal of Mathematics and Computer Science, Vol. 12, 2014, pp. 132 – 142.
[12] S. S. Sastry, “Introductory Methods of Numerical Analysis” Third Edition, Prentice Hall of India, New Delhi, January 2002.
[13] M. K. Jain et al., “Numerical Methods for Scientific and Engineering computation”, New Age International Publishers, Sixth Edition, 2014.
[14] Kendall E. Atkinson, An Introduction to Numerical Analysis”, John Wiley & Sons.(1989)